LT7046B

HIDROLAZĖS IR JŲ PANAUDOJIMAS

HYDROLASES AND USES THEREOF

Referatas

[LT] Šiame išradime pateikiamos hidrolazės, kilusios iš prokariotinių, archėjų ar eukariotinių ląstelių, galinčių regioselektyviai paversti N4-acilcitidino, N4-alkilcitidino, N4-karboksicitidino, S4-alkiltiouridino ir O4-alkiluridino darinius uridino ir, atitinkamai, amido, amino, karbamato tiolio ir alkoholio dariniais. Šiame aprašyme numatytas šių polipeptidų panaudojimas procesuose: 1) cheminių uridino darinių gamybai iš N4-acilcitidinų, N4-alkilcitidinų, N4-karboksicitidinų, S4-alkiltiouridinų ir O4-alkiluridino junginių; 2) pirimidino junginių gamybai, kurie naudojami kaip tarpiniai produktai aktyvių farmacinių vaistų gamyboje; 3) provaisto aktyvavimui; 4) fermentų atrankai kartu su N4-acilcitidinais, N4-alkilcitidinais, S4-alkiltiuridinais ir O4-alkiluridinais.

[EN] The present invention is provided hydrolases originating from prokaryotic, archaea and eukaryotic cells, capable of regioselectively converting N4-acylcytidine, N4-alkylcytidine, N4-carboxycytidine, S4-alkylthiouridine and O4-alkoxyuridine derivatives to uridine derivatives. The present disclosure provides using these polypeptides in the processes: 1) for making chemical uridine derivatives from N4-acylcytidines, N4-alkylcytidines, N4-carboxycytidine, S4-alkylthiouridines and O4-alkoxyuridine compounds; 2) for making pyrimidine compounds such as intermediates in the production active pharmaceutical drugs; 3) for the prodrug activation; 4) in combination with N4-acylcytidines, N4-alkylcytidines, S4-alkylthiouridines and O4-alkoxyuridines for the selection of enzymes.

Aprašymas

[0001] IŠRADIMO SRITIS

[0002] Šis išradimas yra susijęs su biochemijos sritimi, tiksliau su fermentais, vadinamais hidrolazėmis, ir jų naudojimu modifikuojant N4-acilcitidinus, N4-alkilcitidinus, N4-karboksicitidinus, S4-alkiltiouridinus ir O4-alkiluridino junginius.

[0003] IŠRADIMO TECHNIKOS LYGIS

[0004] Amino grupės pašalinimas iš molekulės vadinamas deamininimu, o fermentai, katalizuojantys šią reakciją, vadinami deaminazėmis. Pagal apibrėžimą deaminazės priklauso hidrolazių šeimai, kurios veikia anglies-azoto ryšius cikliniuose amidinuose, bet neatpažįsta peptidinių anglies-azoto ryšių. Deaminazių katalizuojamos reakcijos metu išsiskiria amoniakas. Gyvuose organizmuose vienas iš labiausiai žinomų deamininimo procesų yra nukleobazių – citozino, adenino ir guanino deamininimas. Pirimidinų – citidino/2'-deoksicitidino, citozino arba mono-/di-/tri-fosforilintų citidino junginių arba nukleobazių, įeinančių į DNR/RNR sudėtį, deamininimą katalizuoja skirtingos specifinės pirimidino deaminazės. Tuo tarpu purino bazių adenino ir guanino deaminavimą atlieka specifinės purino deaminazės. Gamtoje buvo aptikti du citidino deaminazių (CDA) struktūriniai tipai: homodimerinės (D-CDA) citido deaminazės, pavyzdžiui, Escherichia coli, Arabidopsis thaliana, Klebsiella pneumoniae D-CDA, ir homotetramerinės (T-CDA) citidino deaminazės, pavyzdžiui, Homo sapiens ir Bacillus subtilis CDA. Abiejose CDA tipuose yra po vieną katalizinį cinko joną kiekviename subvienete. Citidino deaminazė [EC 3.5.4.5] yra pirimidino metabolinio kelio fermentas, katalizuojantis hidrolizinį citidino ir 2'-deoksicitidino deaminninimą iki uridino ir 2'-deoksiuridino. Iš mokslinės literatūros duomenų yra žinoma, kad homodimerinės ir homotetramerinės citidino deaminazės katalizuoja skirtingų N4 padėtyje nepakeistų citidino darinių deamininimo reakcijas. Taip pat yra žinoma, kad E. coli citidino deaminazė (koduojama cdd geno) katalizuoja N4-metilcitidino hidrolizę į uridiną (Cohen ir Wolfenden, 1971), o citokinino deaminazė katalizuoja N6 padėtyje pakeistų adenino darinių pavertimą į adeniną (Goble ir kt., 2011). Minėtų abiejų reakcijų metu išsiskiria atitinkamas aminas. Taip pat yra žinoma, kad citozino, adenino ar guanino deamininimo hidrolizės reakcijos į uracilą, hipoksantiną ir ksantiną, išskiriant amoniaką, gali vykti ir savaime be fermentinių katalizatorių pagalbos, bet spontaniškai vykstančios acil/alkil-nukleozidų deamininimo/deamidinimo reakcijos nėra žinomos.

[0005] Mokslinėje literatūroje iki šiol nebuvo parodyta didesnių N4-acilintų / N4-alkilintų citidino darinių grupių deaminimo arba deamidinimo reakcijų, kurias katalizuotų hidrolazių šeimos fermentai. Taip pat nebuvo publikuota jokių tyrimų rezultatų, kad citidino deaminazės gali hidrolizuoti S4-alkiltiouridino ir O4-alkiluridino darinius.

[0006] Chemoterapijai naudojami fluorpirimidinai pasižymi priešnavikiniu poveikiu remiantis keliais mechanizmais: slopina RNR sintezę ir funkcijas, nutraukia DNR sintezę, kai modifikuoti nukleozidai įtraukiami į jų sudėtį bei slopina timidilato sintazės aktyvumą. Deja, yra žinoma, kad dauguma dabartinių vaistų nuo vėžio turi žemą terapinį indeksą – skirtumas tarp dozių, sukeliančių priešvėžinį poveikį, ir dozių, sukeliančių toksiškumą yra pernelyg mažas. Tai lemia ne vienas žmogaus ląstelių fermentas. Vienas iš jų tokių žinomų fermentų yra citidino deaminazė (CDA) – fermentas, kurio aktyvumas yra reikšmingas nustatant vėžinių ląstelių jautrumą/atsparumą gydymui citidino analogais (Jansen ir kt. 2011). CDA dalyvauja nukleozidų analogų, tokių kaip gemcitabinas (Bjånes ir kt., 2020), kapecitabinas (Walko ir Lindley, 2005), citarabinas (Liu ir kt., 2016) ir azacitidinas (Murakami ir kt., 2019) metabolizme. Katalizuodama nukleozidų analogų deamininimą, CDA sukelia jų inaktyvavimą (gemcitabinas, citarabinas, azacitidinas) arba jų aktyvaciją (kapecitabinas) gyvame organizme. Yra įrodyta, kad priešvėžinis vaistas kapecitabinas iš pradžių nepakeistas praeina per virškinimo trakto gleivinę ir yra paverčiamas 5'-deoksi-5-fluorocitidino ribonukleozidu (5'DFCR), dalyvaujant karboksilesterazei, o vėliau – 5'-deoksi-5-fluorouridinu ((5')-DFUR) veikiant citidino deaminazei. Galiausiai timidino fosforilazė paverčia 5'-DFUR aktyviu vaistu. Šis procesas vyksta tiek navikinėse, tiek sveikose ląstelėse sukeldamas neigiamą šalutinį poveikį (Shelton ir kt., 2016) (Álvarez ir kt., 2012). Iki šiol nebuvo nustatyta, kad žarnyno mikrobiotoje gali būti citidino deaminazių, kurios gali paversti, pvz., kapecitabiną toksišku fluorouridinu žarnyne, dėl ko gali atsirasti papildomas šalutinis poveikis.

[0007] Siekiant sumažinti chemoterapinių antimetabolitų toksiškumą, buvo sukurti ir publikuoti įvairūs metodai. Vienas iš jų yra metodas, vadinamas fermentų-provaistų sistema, kuris gali padėti pagerinti įprastų vėžio chemoterapijų veiksmingumą ir saugumą. Taikant šį metodą, vėžio ląstelės pirmiausia transfekuojamos genu, galinčiu ekspresuoti fermentą, katalizuojantį netoksišką provaistą į jo aktyvią citotoksinę formą. Dėl to aktyvuotas provaistas gali sunaikinti transfekuotas vėžio ląsteles (Malekshah et.al. 2016). Iki šiol jau buvo pasiūlyta įvairių provaistų-fermentų sistemų. Patentuotų fermentų/provaistų sistemų pavyzdžiai būtų tokie: (1) mielių arba bakterinė citozino deaminazė, paverčianti provaistą 5-fluorcitoziną į citotoksinį chemoterapinį agentą 5-fluorouracilą (5-FU) (US010035983B2); (2) izocitozino deaminazės/5-fluorizocitozino fermento/provaisto pora, skirta genų nukreiptai vėžio terapijai (LT6626B); (3) genetiškai modifikuota žmogaus deoksicitidino kinazė (dCK), turinti sustiprintą aktyvumą prieš nukleozidų analogus, naudojamus vėžio chemoterapijoje (WO2009143048A2, US8349318 B2); (3) polipeptidų, pasižyminčių nitroreduktazės aktyvumu, panaudojimas kartu su provaistais (WO2000047725 A1, WO2005049845 A2, WO2006103452, WO2015075475 A1, WO9512678 A2); (4) nikotinamido ribozido kinazės (US20080206221) ir jos substrato sistema bei (5) citochromo P 450 arba citochromo P 450 reduktazės-provaistų aktyvacijos sistema (WO9945126 A2). Nepaisant siūlomų terapinių sistemų gausos, vis dar reikia naujų strategijų, nes vėžio ląstelės linkusios įgauti atsparumą vaistams, be to daugelis antimetabolitų yra toksiški visam organizmui.

[0008] Šiame išradime siūloma fermentų-provaistų sistema turi tam tikrų privalumų prieš jau publikuotas sistemas: 1) fluorpirimidinų heterociklinių bazių 4 padėties apsauginė grupė gali būti labai įvairi (-N-R, -S-R arba -O-R liekanos, kai R gali būti alkilo/acilo arba karbamato liekanos). Ši savybė išplečia galimų vaistų spektrą, be to, suteikia galimybę sujungti skirtingus provaistų junginius su vienu fermentu ir taip išvengti atsparumo vaistui(-ams) išsivystymo; 2) provaistas gali būti sudarytas iš dviejų priešvėžinių junginių, kurie išsiskiria po poveikio hidrolaze, todėl galima tikėtis dvigubo priešvėžinio poveikio; 3) didelis provaistų junginių spektras padidina galimų taikinių skaičių vėžio ląstelėse, todėl sumažėja atsparumo vaistams išsivystymo galimybė. Be to, aprašyti fermentai kartu su jau žinomais fluoropirimidino provaistais gali net sustiprinti jų priešvėžinį poveikį; 4) siūlomi fermentai hidrolizuoja 4-(N/S/O)-pakeistus fluorpirimidinus tiesiai į 4-nepakeistus fluorouridino darinius, nedalyvaujant žmogaus organizmo amidohidrolazėms ar karboksilesterazėms. Tokia savybė taip pat išplečia provaistų apsauginių grupių spektrą, nes nereikalauja papildomų fermentų.

[0009] Šiame išradime aprašytos CDA taip pat gali būti panaudojamos, pavyzdžiui, kartu su timidino kinaze iš herpesviruso (VZV timidino kinazė), priešvirusinių provaistų gamybai ir jų aktyvacijai. VZV timidino kinazė randama herpesviruse ir naudojama siekiant suaktyvinti daugybę antivirusinių vaistų nuo pačios herpeso infekcijos, tai yra, provaistai aktyvuojami tik užkrėstose ląstelėse. VZV timidino kinazė, priešingai nei žinduolių fermentas, selektyviai monofosforilina specifinius pirimidino junginius. Be to, pirimidino analogai paverčiami citotoksiniais arba citostatiniais metabolitais specifinėse žinduolių ląstelėse, kurios yra genetiškai modifikuotos, gebančios selektyviai sintetinti VZV timidino kinazę (EP0415731 B1). Siekiant sumažinti šalutinį poveikį, šio išradimo hidrolazės gali būti naudojamos netoksiškų provaistų pavertimui, siekiant sukurti VZV timidino kinazės substratus.

[0010] Pirimidino nukleozidų darinių cheminio deamidinimo reakcijos yra žinomos, tačiau tokiai reakcijai vykdyti reikalingos griežtos ir aplinkai nedraugiškos sąlygos – aukšta temperatūra ir auštas slėgis. Tokio cheminio deamininimo metodai aprašyti tik keliuose publikacijose (Clark ir kt., 2005; Nowak ir Robins, 2005).

[0011] Artimiausiu išradimui laikytinis analogas aprašytas Nowak ir Robins, 2005. Citidino ir 2′-deoksicitidino dariniai hidroliziškai deamidinami perkaitintuose vandens/DME(dimetoksietano) tirpaluose alyvos vonioje 125 °C temperatūroje arba metanolio-amoniako mišinyje. Tuo tarpu šiame išradime aprašytos hidrolazės gali būti naudojamos chemofermentiniam citidino darinių deamininimui/deamidinimui in vitro aplinkai draugiškoje aplinkoje (vandeniuose neorganinių druskų tirpaluose pH 7-8) nenaudojant agresyvių organinių tirpiklių, padidinto slėgio ir aukštos temperatūros (>100 °C). Be to, tokios aptiktos netikėtos reakcijos gali pakeisti požiūrį į daugelį gyvų procesų ir turi praktinį pritaikymą. Pavyzdžiui, fluorinti acil-nukleozidai arba alkil-nukleozidai, vadinami antimetabolitais, kartu su specifinėmis hidrolazėmis gali sudaryti fermentų-provaistų sistemą, taikomą chemoterapijai arba kaip antivirusinė sistema žmogaus ar gyvūnų gydymo tikslais.

[0012] IŠRADIMO ESMĖ

[0013] Šis išradimas susijęs su procesu, kurio metu polipeptidai paverčia substrato junginius – N4 pakeistus citidino, S4 pakeistus tiouridino, O4 pakeistus alkiluridino darinius arba N2 pakeistus pseudoizocitidino, kurių bendrosios formulės 1, 4, 6, 8, 9 (1, 2, 3, 4, 5 schemos) į atitinkamus produktų junginius, kurių bendrosios formulės 2, 3, 5, 7, 10. Pirmuoju aspektu išradimas yra susijęs su išskirta hidrolaze, kurios aminorūgščių seka yra iš grupės SEQ ID Nr. 1–41. Vienu aspektu čia aprašyti hidrolazės polipeptidai turi aminorūgščių sekas, turinčias vieną ar daugiau aminorūgščių skirtumų, palyginus vieną su kitu. Kitu aspektu, čia aprašyti hidrolazės polipeptidai turi aminorūgščių sekas, turinčias vieną ar daugiau aminorūgščių skirtumų, lyginant su laukinio tipo hidrolaze arba lyginant su inžinerine hidrolaze. Viena ar daugiau aminorūgščių skirtumų lemia bent vieną patobulintą fermento savybę apibrėžtam substratui. Šiame išradime aprašyti hidrolazės polipeptidai yra modifikuoti hidrolazės polipeptidai, turintys vieną ar daugiau patobulintų savybių, palyginti su natūraliai pasitaikančiais laukinio tipo hidrolazės fermentais, gautais iš SEQ ID Nr.: 1. Inžinerijos būdu sukurtų hidrolazės polipeptidų fermentų savybių patobulinimai apima fermentų aktyvumą ir/ar padidėjusį substratų spektrą.

[0014] Kitu aspektu, šio išradimo hidrolazės polipeptidas yra mažiausiai 70% identiškas SEQ ID Nr. 1 etaloninei sekai ir padėtyje, atitinkančioje nurodytą SEQ ID Nr. 1 padėtį, turi bent vieną iš šių aminorūgščių skirtumų: aminorūgštis 51 padėtyje yra nepolinė alifatinė aminorūgštis, pasirinktinai iš glicino, alanino, leucino ir valino, arba aminorūgštis 51 padėtyje yra polinė aminorūgštis, pasirinktinai iš treonino ir serino; aminorūgštis 81 padėtyje yra nepolinė alifatinė aminorūgštis, pasirinktinai iš glicino ir alanino, aminorūgštis 83 padėtyje yra polinė įkrauta arba neutrali aminorūgštis, pasirinktinai iš arginino, histidino, lizino, asparagino, glutamino, asparto rūgšties, glutamo rūgšties, serino ir treonino, aminorūgštis 83 padėtyje yra nepolinė alifatinė aminorūgštis, pasirinktinai iš alanino ir glicino; 84 padėtyje esanti aminorūgštis yra nepolinė alifatinė aminorūgštis, pasirinktinai iš alanino, leucino, valino, izoleucino, glicino, metionino ir prolino, arba 84 padėtyje esanti aminorūgštis yra polinė aminorūgštis, pasirinktinai iš asparagino, glutamino, asparto rūgšties, glutamo rūgšties, serino ir treonino; aminorūgštis 85 padėtyje yra nepolinė alifatinė aminorūgštis, pasirinktinai iš glicino, alanino, leucino, izoleucino, valino ir metionino, arba aminorūgštis 85 padėtyje yra polinė aminorūgštis, pasirinktinai iš serino arba treonino; aminorūgštis 127 padėtyje yra arba polinė aminorūgštis, pasirinktinai iš treonino, serino arba krūvį turinčios aminorūgšties histidino, arba aminorūgštis 127 padėtyje yra nepolinė aminorūgštis – alaninas, leucinas, valinas, izoleucinas, glicinas, metioninas arba cisteinas; aminorūgštis 128 padėtyje yra arba nepolinė alifatinė aminorūgštis, pasirinktinai iš alanino, leucino, valino, izoleucino, glicino ir metionino, arba aminorūgštis 128 padėtyje yra polinė aminorūgštis, pasirinktinai iš serino, treonino arba lizino ir arginino; aminorūgštis 129 padėtyje yra nepolinė aromatinė aminorūgštis, pasirinktinai iš tirozino, triptofano ir fenilalanino, arba aminorūgštis 129 padėtyje yra polinė aminorūgštis, pasirinktinai iš serino, treonino, histidino, glutamo arba asparto rūgšties; aminorūgštis 130 padėtyje yra nepolinė alifatinė arba aromatinė aminorūgštis, pasirinktinai iš glicino, alanino, leucino, valino, izoleucino, glicino, metionino ir tirozino, triptofano ir fenilalanino; aminorūgštis 126 padėtyje yra nepolinė alifatinė arba aromatinė aminorūgštis, pasirinktinai iš alanino, leucino, valino, izoleucino, glicino, metionino, fenilalanino, tirozino ir triptofano.

[0015] Pageidautina, kad sekos tapatumo lygis tarp užklausos ir subjekto sekos būtų nustatytas naudojant sekos derinimo programą, tokią kaip ClustalW (Thompson ir kt., 1994).

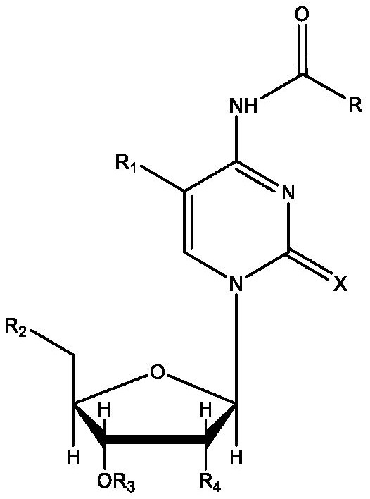
[0016] Tam tikruose įgyvendinimo variantuose išradimas pateikia hidrolazių polipeptidus, galinčius paversti N4-acilcitidino bendrosios formulės (1) junginius atitinkamais produktais – uridino dariniu bendrosios formulės (2) ir amidu bendrosios formulės (3) junginiu, kaip parodyta 1 schemoje žemiau:

[0017]

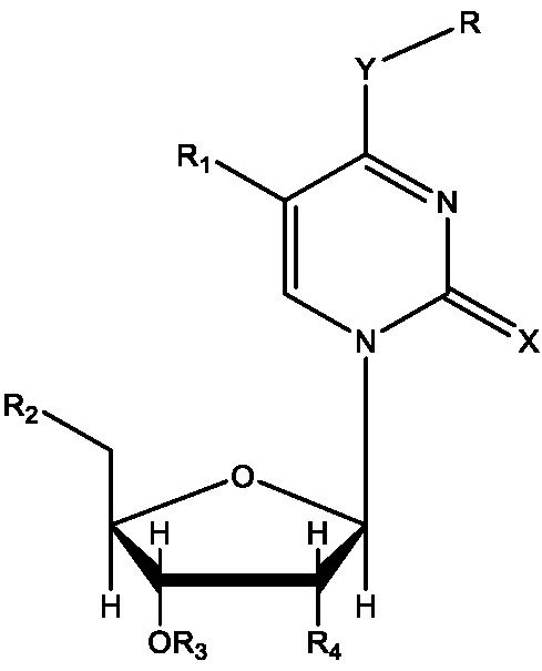
[0018] kur R yra C1-C10 alkilas, C1-C10 pakeistas alkilas, -(CH2)n-Ph arba pakeistas -(CH2)n-Ph; kur minėtame -(CH2)n-Ph n = 0, 1, 2, 3-10, Ph yra fenilas; minėto pakeisto alkilo anglies grandinė yra nepriklausomai pakeista viena arba dviem arba trimis hidroksilo arba karboksilo grupe; minėtame pakeistame -(CH2)n-Ph n = 0, 1, 2, 3-10, ir anglies grandinė arba fenilo žiedas yra nepriklausomai pakeisti viena arba dviem hidroksilo arba karboksilo grupėmis; kur X yra S, O; Kur R1 yra C1-C10 alkilas, C1-C10 pakeistas alkilas arba F; Kur R2 yra –OH, –PO42-, C1-C10 alkilas, C1-C10 pakeistas alkilas; Kur R3: H, OH; Kur R4: H, OH, C1-C10 alkilas, C1-C10 pakeistas alkilas arba F.

[0019] Tam tikruose įgyvendinimo variantuose pateikiami hidrolazės polipeptidai, galintys paversti bendrosios formulės N(O,S)4-alkilpirimidino junginius (4) į atitinkamus produktus – uridino darinį, kurio bendroji formulė (2) ir bendrosios formulės junginį (5), kaip parodyta 2 schemoje:

[0020]

[0021] kur Y yra NH, S arba O; Kur R yra C1-C10 alkilas, C1-C10 pakeistas alkilas, -(CH2)n-Ph arba pakeistas -(CH2)n-Ph; kur minėtame -(CH2)n-Ph n = 0, 1, 2, 3-10, Ph yra fenilas; minėto pakeisto alkilo anglies grandinė yra nepriklausomai pakeista viena arba dviem arba trimis hidroksilo arba karboksilo grupėmis; minėtame pakeistame -(CH2)n-Ph n = 0, 1, 2, 3-10, ir anglies grandinė arba fenilo žiedas yra nepriklausomai pakeisti viena arba dviem hidroksilo arba karboksilo grupėmis; kur X yra S, O; Kur R1 yra C1-C10 alkilas, C1-C10 pakeistas alkilas arba F; Kur R2 yra –OH, –PO4-, C1-C10 alkilas, C1-C10 pakeistas alkilas; Kur R3: H, OH; Kur R4: H, OH, C1-C10 alkilas, C1-C10 pakeistas alkilas arba F.

[0022] Tam tikruose įgyvendinimo variantuose pateikiami hidrolazės polipeptidai, galintys N2-acil-pseudoizocitidino junginius bendrosios formulės (6) paversti atitinkamais produktais –bendrosios formulės pseudoizouridino dariniu (7) ir bendrosios formulės (3) amidu, kaip parodyta 3 schemoje žemiau:

[0023]

[0024] kur R yra C1-C10 alkilas, C1-C10 pakeistas alkilas, -(CH2)n-Ph arba pakeistas -(CH2)n-Ph; kur minėtame -(CH2)n-Ph n = 0, 1, 2, 3-10, Ph yra fenilas; minėto pakeisto alkilo anglies grandinė yra nepriklausomai pakeista viena arba dviem arba trimis hidroksilo arba karboksilo grupėmis; minėtame pakeistame -(CH2)n-Ph n = 0, 1, 2, 3-10, ir anglies grandinė arba fenilo žiedas yra nepriklausomai pakeisti viena arba dviem arba hidroksilo grupe, arba karboksilo grupe; kur X yra S, O; Kur R1 yra –OH, –PO4-, C1-C10 alkilas, C1-C10 pakeistas alkilas; Kur R2: H, OH; Kur R3: H, OH, C1-C10 alkilas, C1-C10 pakeistas alkilas arba F.

[0025] Tam tikruose įgyvendinimo variantuose pateikiami hidrolazės polipeptidai, galintys paversti N(O,S)2-alkil-pseudoizocitidino junginius bendrosios formulės (8) atitinkamais produktais – pseudoizouridino bendrosios formulės (7) dariniu ir bendrosios formulės (5) junginiu, kaip parodyta toliau pateiktoje 4 schemoje:

[0026]

[0027] kur Y yra NH, S arba O; Kur R yra C1-C10 alkilas, C1-C10 pakeistas alkilas, -(CH2)n-Ph arba pakeistas -(CH2)n-Ph; kur minėtame -(CH2)n-Ph n = 0, 1, 2, 3-10, Ph yra fenilas; minėto pakeisto alkilo anglies grandinė yra nepriklausomai pakeista viena arba dviem, arba trimis hidroksilo, arba karboksilo grupėmis; minėtame pakeistame -(CH2)n-Ph n = 0, 1, 2, 3-10, ir anglies grandinė arba fenilo žiedas yra nepriklausomai pakeisti viena arba dviem, arba hidroksilo grupe, arba karboksilo grupe; kur X yra S, O; Kur R1 yra –OH, –PO4-, C1-C10 alkilas, C1-C10 pakeistas alkilas; Kur R2: H, OH; Kur R3: H, OH, C1-C10 alkilas, C1-C10 pakeistas alkilas arba F.

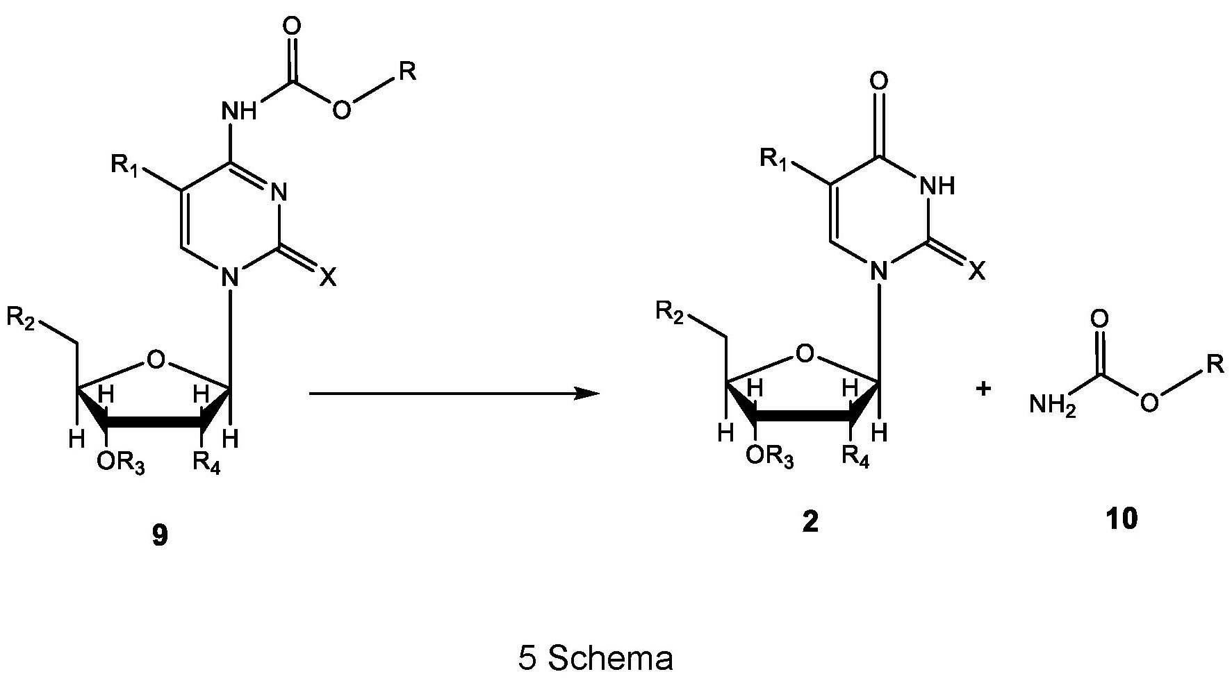
[0028] Tam tikruose įgyvendinimo variantuose pateikiami hidrolazės polipeptidai, galintys paversti N4-alkoksikarbonilcitidino bendrosios formulės (9) junginį atitinkamais produktais – uridino bendrosios formulės (2) dariniu ir karbamato bendrosios formulės (10) junginiu, kaip parodyta 5 schemoje toliau:

[0029]

[0030] kur R yra C1-C10 alkilas, C1-C10 pakeistas alkilas, -(CH2)n-Ph arba pakeistas -(CH2)n-Ph; kur minėtame -(CH2)n-Ph n = 0, 1, 2, 3-10, Ph yra fenilas; minėto pakeisto alkilo anglies grandinė yra nepriklausomai pakeista viena arba dviem, arba trimis hidroksilo, arba karboksilo grupėmis; minėtame pakeistame -(CH2)n-Ph n = 0, 1, 2, 3-10, ir anglies grandinė arba fenilo žiedas yra nepriklausomai pakeisti viena arba dviem arba hidroksilo grupe, arba karboksilo grupe; kur X yra S, O; Kur R1 yra C1-C10 alkilas, C1-C10 pakeistas alkilas arba F; Kur R2 yra –OH, –PO4-, C1-C10 alkilas, C1-C10 pakeistas alkilas; Kur R3: H, OH; Kur R4: H, OH, C1-C10 alkilas, C1-C10 pakeistas alkilas arba F.

[0031] Tam tikruose įgyvendinimo variantuose substrato junginio (1, 4, 6, 8, 9) pavertimo atitinkamu produkto junginiu (2, 3, 5, 7, 10) metodas apima substrato kontaktavimą arba inkubavimą su bent vienu iš čia aprašytų hidrolazės polipeptidų SEQ ID Nr.: 1-41 reakcijos sąlygomis, tinkamomis substrato konversijai į produktą.

[0032] Kai kuriais pirmiau minėtų metodų atvejais substratas paverčiamas produktu daugiau kaip 95%, daugiau kaip 97% arba daugiau kaip 99% išeiga, kai hidrolazės polipeptidą sudaro seka, atitinkanti SEQ ID Nr.: 1-41.

[0033] Kai kuriais pirmiau minėtų metodų atvejais ne mažiau kaip 95% substrato paverčiama produktu per mažiau kaip 24 valandas, kai naudojama daugiau kaip 100 g/l substrato ir mažiau kaip 5 g/l polipeptido, kai polipeptidas turi aminorūgščių seką, atitinkančią SEQ ID Nr. 1-41.

[0034] Viename iš išradimo variantų pateikiamas būdas, kuriuo galima bent jau slopinti, o paprastai, žudyti besidauginančias arba nesidauginančias transfekuotas arba transdukuotas žinduolių ląsteles ir pašalines ląsteles, atliekant šiuos veiksmus: (a) tikslinių žinduolių ląstelių transfekciją arba transdukciją nukleorūgštimi, koduojančia SEQ ID Nr. 1-41, arba tokio fermento pateikimą tiesiogiai į tikslines ląsteles; ir (b) tikslinėse ląstelėse, sintetinančiose arba turinčiose SEQ ID Nr. 1–41 fermentą, po kontakto su fermento substratu, susidaro toksiška pirimidino bazė, ko pasekoje žūsta tikslinės ląstelės, taip pat gretimos ląsteles, nesintetinančios arba neturinčios tokio fermento. Taigi, esant substratui, fermentas iš SEQ ID Nr. 1–41 grupės gamina toksišką produktą.

[0035] Kitame įgyvendinimo variante išradimas pateikia funkcinę fermentų atranką arba atranką, kai tiksliniai fermentai katalizuoja N4-acil/N4-alkil/N4-alkoksikarbonilcitidino darinių, S4-alkiluridino arba O4-alkiluridino darinių, kurie nėra hidrolazių, kurių sekos yra SEQ ID Nr. 1-41, substratai, į N4-acil/N4-alkil/N4-karboksicitidino darinius, S4-alkiluridino arba O4-alkiluridino darinius, kurie gali būti hidrolizuoti katalizuojant vienai iš SEQ ID Nr. 1-41 hidrolazių į reakcijos produktus, kurie yra uridino dariniai pagal toliau pateiktą 6 schemą:

[0036]

[0037] kur R1 yra H, OH, NH2;

[0038] R2 yra fragmentas, kurį galima pašalinti viena iš SEQ ID Nr. 1, 2, 3, 4, 5, 6, 7, 8, 9, 10, 11, 12, 13, 14, 15, 16, 17, 18, 19, 20, 21, 22, 23, 24, 25, 26, 27, 28, 29, 30, 31, 32, 33, 34, 35, 36, 37, 38, 39, 40, 41 hidrolazių;

[0039] R3 yra fragmentas, kurį pašalina tikslinis fermentas;

[0040] Tikslinis fermentas yra fermentas, kuris yra tikrinamas arba atrenkamas;

[0041] Hidrolazė yra viena iš SEQ ID Nr. 1-41 hidrolazių; Kur X yra NH, S, O.

[0042] Uridino dariniai gali būti toliau aptikti cheminiais arba fiziniais metodais arba gali būti naudojami kaip junginys, palaikantis uridino auksotrofinių ląstelių augimą.

[0043] Kitame įgyvendinimo variante išradimas pateikia metodą, kai hidrolazės panaudojamos CRISPR-Cas9 sistemoje genomo redagavimui. Proceso esmė yra tokia: DNR su tiksliniu citidinu arba jo analogu (modifikuotu citidinu) nukreipiančiosios RNR nurodytame lokuse yra surišama su Cas9 nukleaze, kuri tarpininkauja lokaliam DNR grandinės atskyrimui. Citidino deaminavimas paverčia vienos grandinės taikinį C → U. Gautas G:U heterodupleksas gali būti visam laikui paverstas A:T bp po DNR replikacijos arba DNR atstatymo.

[0044] TRUMPAS PAVEIKSLŲ APRAŠYMAS

[0045] 1 pav. Fermentų-provaistų sistemos citotoksinis aktyvumas. HCT116 ląstelės, transdukuotos vektoriumi pBABE/Seq ID Nr.: 4 koduojančiu Seq ID Nr.: 4 hidrolazę, arba kontroliniu vektoriumi pBABE-Puro (žymimas kaip pBABE), buvo veikiamos 24 valandas skirtingais provaistais, kurių koncentracijos buvo 1 μM, 5 μM, 10 μM ir 100 μM. Statistinis patikimumas rodomas p reikšmėmis, kur simbolis * žymi p < 0,05, o simbolis ** žymi p < 0,01 nepaveiktų ląstelių atžvilgiu (neigiama kontrolė (NK)). HCT116 ląstelės buvo paveiktos tokiais provaistais: 1 – 5-fluor-N4-acetilcitidinu, 2 – 5-fluor-N4-benzoilcitidinu, 3 – 5-fluor-N4-pivaloilcitidinu, 4 – 5-fluor-4-((1H-indol)-3-il)propionil)-citidinu.

[0046] 2 pav. Fermentų-provaistų sistemos citotoksinis aktyvumas. HCT116 ląstelės, transdukuotos vektoriumi pBABE/Seq ID Nr. 4 koduojančiu Seq ID Nr:4 hidrolazę, arba kontroliniu vektoriumi pBABE-Puro (žymimas kaip pBABE), buvo veikiamos 24 valandas skirtingais provaistais, kurių koncentracijos buvo 1 μM, 5 μM, 10 μM ir 100 μM. Statistinis patikimumas rodomas p reikšmėmis, kur simbolis * žymi p < 0,05, o simbolis ** žymi p < 0,01 nepaveiktų ląstelių atžvilgiu (neigiama kontrolė (NK)). HCT116 ląstelės buvo veikiamos provaistais: 5 – 5-fluor-N4-benziloksiuridinu, 6 – 5-fluor-N4-butoksiuridinu, 7 – 5-fluor-N4-metoksiuridinu.

[0047] 3 pav. Fermentų-provaistų sistemos citotoksinis aktyvumas. HCT116 ląstelės, transdukuotos vektoriumi pBABE/Seq ID Nr.: 4 koduojančiu Seq ID Nr. 4 hidrolazę, arba kontroliniu vektoriumi pBABE-Puro (žymimas kaip pBABE), buvo veikiamos 24 valandas skirtingais provaistais, kurių koncentracijos buvo 1 μM, 5 μM, 10 μM ir 100 μM. Statistinis patikimumas rodomas p reikšmėmis, kur simbolis * žymi p < 0,05, o simbolis ** žymi p < 0,01 nepaveiktų ląstelių atžvilgiu (neigiama kontrolė (NK)). HCT116 ląstelės buvo veikiamos provaistais: 8 – 5-fluor-N4-metiltiouridinu, 9 – 5-fluor-N4-etiltiouridinu.

[0048] DETALUS IŠRADIMO APRAŠYMAS

[0049] Išradime vartojamas terminas "hidrolazė" ir (arba) "citidino deaminazė", jei nenurodyta kitaip, reiškia polipeptidą, kuris katalizuoja negrįžtamą N4/N2 nepakeistų citidino darinių (citidino ir pseudoizocitidino ir modifikuotų nukleozidų analogų), N4/N2 nepakeistų deoksicitidino darinių (2'-deoksicitidinas, pseudoizo-2'-deoksicitidinas 2',3'-dideoksicitidinas, 2',5'-dideoksicitidinas ir modifikuotų nukleozidų analogai), N4-acil-citidino darinių, N4-acil-2'-deoksicitidino darinių, N4-alkil-citidino darinių, N4-alkil-2'-deoksicitidino darinių, N4-alkoksikarbonilcitidino darinių, S4-alkil-tiouridino darinių arba S4-alkil-tio-2'-deoksiuridino darinių, O4-alkiluridino darinių arba O4-alkil-2'-deoksiuridino darinių negrįžtamą hidrolizinį deamininimą, atitinkamai susidarant uridino ir 2'-deoksiuridino produktams ir apima bent vieną iš čia deklaruotų genų sekos fragmentų SEQ ID Nr: 1-41.

[0050] Čia vartojamas terminas "nukleozidas" reiškia ribonukleozidą arba dezoksiribonukleozidą, arba modifikuotą jų formą, arba jų analogą. Sąvokos "dariniai" arba "junginys" ir kitas žodis, turintis tą pačią šaknį ir vartojamas kartu su terminu "citidinas" arba "uridinas", reiškia, kad nukleozidai turi papildomų cheminių grupių, kurių nėra natūraliuose citidino ar uridino nukleoziduose. Bet kuri nukleozido angliavandenių (pvz., ribozė, dezoksiribozė, arabinozė ar kitas monosacharidas) hidroksilo grupė gali būti pakeista metilo, etilo, azido grupėmis arba kitomis organinių junginių funkcinėmis grupėmis. 5'- angliavandenių galai gali būti monofosforilinti. Nukleozidas taip pat gali būti sudarytas iš ribozės ir dezoksiribozės, kaip alternatyvių monosacharidų, įskaitant 2'-O-metil-, 2'-O-alilo-, 2'-O-etil-, 2'-O-propil-, 2'-metoksietilo-, 2'-fluor-, 2'-amino-, 2'-azido-pentozės, α-anomerai, kitos aldopentozės (pvz., arabinozė, ksilozė, liksozė), piranozės, acikliniai analogai. Nukleozidai taip pat gali būti L-(+) stereoizomerai.

[0051] Sąvoka "N4 nepakeistas citidinas" arba "N4 nepakeistas 2'-deoksicitidinas" reiškia, kad nukleozidai gali turėti papildomų cheminių grupių visose padėtyse, išskyrus N4 atomą.

[0052] Sąvoka "N4 pakeistas citidinas" ir "N4 pakeistas 2'-deoksicitidinas" reiškia, kad nukleozidai turi acilo, alkilo ar karbamato grupes 4-oje padėtyje, taip pat dariniai gali turėti papildomų cheminių grupių visose padėtyse. Sąvoka "S4-pakeisti tiouridino dariniai" reiškia, kad nukleozidai turi alkilo grupes S4 padėtyje, taip pat dariniai gali turėti papildomų cheminių grupių visose padėtyse. Terminas "O4-pakeisti uridino dariniai" reiškia, kad nukleozidai turi alkilo grupes O4 padėtyje, taip pat dariniai gali turėti papildomų cheminių grupių visose padėtyse. Terminas "alkilas", jei nenurodyta kitaip, reiškia N4-alkilą, 4-tioalkilą (S4-alkilą) arba 4-alkoksi (O4-alkilą) linijinį arba šakotą arba aromatinį angliavandenilį. Viename įgyvendinimo variante alkilo grupė yra pirminis, antrinis arba tretinis angliavandenilis. Viename įgyvendinimo variante alkilo grupė apima nuo dviejų iki dešimties anglies atomų, t.y., C2-C10 alkilas. Viename įgyvendinimo variante alkilo grupė yra aromatinė arba heterociklinė. Terminas "acilas", jei nenurodyta kitaip, reiškia N4 amido grupę su linijinės arba šakotos grandinės arba aromatinį angliavandeniliu. Viename įgyvendinimo variante acilo grupė yra pirminis, antrinis arba tretinis amidas. Viename įgyvendinimo variante acilo grupė apima nuo dviejų iki dešimties anglies atomų, t.y. C2-C10 alkilą. Viename įgyvendinimo variante acilo grupė yra aromatinė arba heterociklinė.

[0053] Šiame išradime vartojamas terminas "slopinimas" reiškia įprasto fiziologinio aktyvumo pakitimą. Konkrečiai, slopinimas apibrėžiamas kaip ląstelių lizė, proliferacijos mažinimas, augimo mažinimas, geno, RNR, baltymo, lipidų ar kitų metabolitų biosintezės arba skilimo greičio didinimas arba sumažinimas, apoptozės ar kitų ląstelių mirties mechanizmų sukėlimas arba didinimas, mažinimas, arba dar kitaip pakeičiant baltymo ar nukleorūgšties funkciją.

[0054] "Fermentų atranka" reiškia fermentų atranką pagal fenotipo pasikeitimo įvertinimą, o "fermentų selekcija" automatiškai pašalina neveikiančius variantus. Fermentų selekcija arba atranka gali būti atliekama iš fermentų bibliotekų in vivo arba in vitro. Terminas "fermentų biblioteka" reiškia baltymų arba genų rinkinį, įterptą į genų raiškos vektorius arba ląsteles, gaminančias fermentus. Fermentų biblioteka gali būti metagenominė biblioteka arba mutantų biblioteka. Metagenominė biblioteka gali būti sudaryta iš įvairių aplinkos mėginių šaltinių, tokių kaip dirvožemis, vanduo, dumblas ir kt. Tiksliau, pasirinktas arba patikrintas fermentas gali būti bet kurios fermentų grupės, pavyzdžiui, oksidoreduktazės, hidrolazės, liazės ir kt.

[0055] IŠRADIMO ĮGYVENDINIMO PAVYZDŽIAI

[0056] 1 pavyzdys. Alkilinto tiouridino ir alkoksiudino darinių sintezė

[0057] Šiame išradime naudojami tiouridino ir alkoksiuridino junginiai yra sintetinami pagal sintetinę schemą:

[0058]

[0059] Uridino (1a) ir 5-fluorouridino (1b) acetilinimas.

[0060] Bendra procedūra: Acto anhidridas (6 ekv.) buvo lašinamas į 0,5 M substrato (1 ekv.) tirpalą piridine esant kambario temperatūrai. Po 16 valandų inkubacijos, reakcija buvo sustabdyta pridedant metanolio ir mišinys sukoncentruojamas rotaciniu garintuvu, atliekant ko-garinimą pridėjus tolueno esant 40-45 °C temperatūrai (kartojama 4-5 kartus). Piridino pėdsakai buvo pašalinti ekstrahuojant: mišinys ištirpintas dichlormetane (1 g/25 ml) ir du kartus perplautas 1M HCl, vieną kartą vandeniu ir tada sočiu NaCl tirpalu, po to sukoncentruota rotaciniu garintuvu. Organinė fazė buvo išdžiovinta Na2SO4.

[0061]

[0062] 2', 3', 5'-Tri-O-acetiluridinas (2a)

[0063] Uridino (1a) acetilinimas buvo atliktas 41 mmol skalėje (10 g). Produktas buvo išskirtas kaip bespalvis aliejus (15,1 g, 99%) ir buvo naudojamas tolesnėse reakcijose be papildomo gryninimo. (Gong, Y. ir kt., 2020).

[0064] (2a) Rf = 0,6 [DCM:MeOH (14:1); 1H NMR (400 MHz, CDCl3) δ 9,44 (s, 1H), 7,39 (d, J = 8,2 Hz, 1H), 6,04 (d, J = 4,6 Hz, 1H), 5,79 (dd, J = 8,2, 2,1 Hz, 1H), 5,37 – 5,27 (m, 2H), 4,40 – 4,27 (m, 3H), 2,13 (s, 3H), 2,12 (s, 3H), 2,09 (s, 3H); 13C NMR (100 MHz, CDCl3) δ 170,3, 169,8 (2C), 163,0, 150,4, 139,4, 103,6, 87,6, 80,1, 72,8, 70,3, 63,3, 20,9, 20,6, 20,5.

[0065]

[0066] 2',3',5'-tri-O-acetil-5-fluorouridinas (2b)

[0067] 5-fluorouridino acetilinimas buvo atliktas 5,8 mmol (1,51 g) skalėje. Produktas 2b buvo išskirtas kaip bespalvis aliejus (2,2 g, 98%) ir buvo naudojamas tolesnėse reakcijose be papildomo gryninimo.

[0068] (2b): Rf = 0,7 [DCM:MeOH (10:1)]; 1H NMR (400 MHz, CDCl3) δ 9,46 (d, J = 4,8 Hz, 1H), 7,61 (d, J = 6,0 Hz, 1H), 6,11 – 6,06 (m, 1H), 5,36 – 5,27 (m, 2H), 4,43 – 4,28 (m, 3H), 2,10 (d, J = 0,8 Hz, 3H), 2,17 (s, 3H), 2,13 (s, 3H); 13C NMR (100 MHz, CDCl3) δ 170,2, 169,8 (2C), 156,6 (d, J = 27,0 Hz), 149,1, 141,0 (d, J = 239,4 Hz), 123,3 (d, J = 34,6 Hz), 87,2, 80,3, 72,9, 70,2, 63,1, 20,9, 20,6, 20,5.

[0069] 2', 3', 5'-tri-O-acetil-4-(1,2,4-triazol-1-il)uridino (3a) ir 2',3',5'-tri-O-acetil- 5-fluor-4-(1,2,4-triazol-1-il)uridino (3b) sintezė

[0070] 3a ir 3b junginiai buvo susintetinti remiantis literatūroje aprašyta procedūra (Milecki, J, et al,, 2011).

[0071]

[0072] 2', 3', 5'-Tri-O-acetil-4-(1,2,4-triazol-1-il)uridinas (3a)

[0073] Junginys 3a buvo išskirtas kaip bespalvis aliejus (1,1 g, 85% išeiga iš 1,14 g (3,08 mmol) 2', 3', 5'-tri-O-acetiluridino (2a)) (Gao, Y, ir kt, , 2003).

[0074] (3a) Rf = 0,2 [DCM:MeOH:acetone (50:1:1)]; 1H NMR (400 MHz, DMSO-d6) δ 9,45 (s, 1H), 8,48 (d, J = 7,3 Hz, 1H), 8,43 (s, 1H), 7,08 (d, J = 7,2 Hz, 1H), 6,02 (d, J = 3,6 Hz, 1H), 5,56 (dd, J = 6,0, 3,6 Hz, 1H), 5,38 (t, J = 6,3 Hz, 1H), 4,44 – 4,34 (m, 2H), 4,29 (dd, J = 12,3, 5,6 Hz, 1H), 2,09 (s, 3H), 2,07 (s, 6H); 13C NMR (100 MHz, DMSO-d6) δ 170,0, 169,3, 169,2, 159,2, 154,2, 153,4, 149,4, 143,9, 94,7, 90,7, 79,5, 72,9, 69,4, 62,7, 20,6, 20,3 (2C).

[0075]

[0076] 2', 3', 5'-tri-O-acetil-5-fluor-4-(1,2,4-triazol-1-il)uridinas (3b)

[0077] 3b junginys buvo naudojamas tolesnėse reakcijose (4b, 9b, 10b, 11b) be papildomo gryninimo.

[0078] (3b): Rf = 0,4-0,5 [DCM:MeOH (30:1)]; 1H NMR (400 MHz, CDCl3) δ 9,25 (s, 1H), 8,41 (d, J = 6,6 Hz, 1H), 8,23 (s, 1H), 6,13 (d, J = 3,6 Hz, 1H), 5,46 (dd, J = 5,2, 3,5 Hz, 1H), 5,30 (d, J = 6,2 Hz, 1H), 4,51 (dt, J = 6,2, 2,8 Hz, 1H), 4,48 – 4,40 (m, 2H), 2,19 (s, 3H), 2,15 (s, 4H), 2,10 (s, 3H); 19F NMR (375 MHz, CDCl3) δ -156,77 (d, J = 6,6 Hz).

[0079] Bendroji 4-feniltiouridino 4a, 5-fluor-4-feniltiouridino 4b ir 4-alkoksi-5-fluoruridinų 9b, 10b, 11b sintezės procedūra:

[0080] Į 0,1 M 4-(1,2 4-triazol-1-il)uridino 3a arba 3b (1 ekv,, 0,1 mmol) tirpalą acetonitrile pridėta DIPEA (5ekv., 0,5 mmol, 87 µL) ir tiofenolio (5ekv., 0,5 mmol, 51 µL) arba R3OH (5 ekv., 0,5 mmol). Po 16 valandų reakcijos kambario temperatūroje mišinys praskiedžiamas vandeniu (5 ml) ir ekstrahuojamas dichlormetanu (2 × 10 ml). Sujungtos organinės fazės buvo plaunamos sočiu NaCl tirpalu (1 x 5 ml), tada išdžiovinamos Na2SO4, filtruojamos ir koncentruojamos rotaciniame garintuve. Produktai buvo išgryninti panaudojus kolonėlės chromatografija (DCM: MeOH 200:1 iki 30:1).

[0081]

[0082] 2', 3', 5'-Tri-O-acetil-4-S-feniltiouridinas (4a)

[0083] Junginys 4a buvo išskirtas kaip bespalvis aliejus (115 mg, 89% išeiga iš 0,282 mmol 4-(1,2,4-triazol-1-il)uridino (3a).

[0084] (4a): Rf = 0,3 [DCM:MeOH (50:1)]; 1H NMR (400 MHz, CDCl3) δ 7,62 – 7,53 (m, 3H), 7,52 – 7,39 (m, 3H), 6,05 (d, J = 4,3 Hz, 1H), 5,92 (d, J = 7,2 Hz, 1H), 5,34 (dd, J = 5,6, 4,3 Hz, 1H), 5,31 – 5,23 (m, 1H), 4,41 – 4,33 (m, 1H), 4,36 – 4,26 (m, 2H), 2,09 (s, 3H), 2,07 (s, 3H), 2,07 (s, 3H); 13C NMR (100 MHz, CDCl3) δ 181,3, 170,2, 169,7, 169,6, 152,9, 140,5, 135,8, 130,5, 130,0, 127,3, 102,1, 89,3, 80,0, 73,8, 69,9, 63,0, 20,9, 20,6 (2C; HRMS (ESI) suskaičiuotaC21H23O8N2S (M+H)+: 463,1170; rasta 463,1170.

[0085]

[0086] 2', 3', 5'-Tri-O-acetil-5-fluor-4-S-feniltiouridinas (4b)

[0087] Produktas 4b buvo išskirtas kaip bespalvis aliejus (110 mg, 61% išeiga per 2 etapus iš 0,376 mmol 2',3',5'-tri-O-acetil-5-fluorouridino (2b)).

[0088] (4b): Rf = 0,4 [DCM:MeOH (30:1)]; 1H NMR (400 MHz, DMSO-d6) δ 8,32 (d, J = 5,6 Hz, 1H), 7,62 – 7,48 (m, 5H), 5,82 (d, J = 3,7 Hz, 1H), 5,46 (dd, J = 6,2, 3,8 Hz, 1H), 5,32 (t, J = 6,1 Hz, 1H), 4,38 – 4,22 (m, 3H), 2,06 (s, 3H), 2,04 (s, 3H), 2,04 (s, 3H); 13C NMR (100 MHz, DMSO-d6) δ 170,0, 169,2, 169,1, 168,2 (d, J = 17,1 Hz), 150,7, 142,2 (d, J = 239,1 Hz), 135,7 (2C), 130,4, 129,6 (2C), 128,3 (d, J = 34,2 Hz), 124,1, 90,1, 79,4, 72,6, 69,2, 62,7, 20,5, 20,2 (2C); 19F NMR (375 MHz, DMSO-d6) δ -157,82, -157,84; HRMS (ESI) suskaičiuotaC21H22O8N2SF (M+H)+: 481,1075; rasta 481,1073.

[0089]

[0090] 2', 3', 5'-Tri-O-acetil-5-fluor-4-metoksiuridinas (9b)

[0091] Produktas 9b buvo išskirtas kaip bespalvis stiklinis aliejus (640 mg, 69% išeiga per 2 etapus iš 2,3 mmol 2',3',5'-tri-O-acetil-5-fluorouridino (2b)).

[0092] (9b): Rf = 0,4 [DCM:MeOH (30:1)]; 1H NMR (400 MHz, CDCl3) δ 7,81 (d, J = 5,7 Hz, 1H), 6,15 (dd, J = 4,4, 1,5 Hz, 1H), 5,36 – 5,32 (m, 1H), 5,32 – 5,25 (m, 1H), 4,44 – 4,31 (m, 3H), 4,07 (s, 3H), 2,16 (s, 3H), 2,11 (s, 3H), 2,09 (s, 3H); 13C NMR (100 MHz, CDCl3) δ 170,1, 169,7, 169,6, 163,1 (d, J = 13,0 Hz), 153,4, 137,2 (d, J = 248,9 Hz), 126,4 (d, J = 32,0 Hz), 88,3, 80,0, 73,7, 69,7, 62,7, 55,5, 20,9, 20,6 (2C); 19F NMR (375 MHz, CDCl3) δ -167,60 (d, J = 6,0 Hz), LCMS; HRMS (ESI) suskaičiuota C16H19O9N2FNa (M+Na)+: 425,0967; rasta 425,0964.

[0093]

[0094] 2', 3', 5'-Tri-O-acetil-5-fluor-4-butoksiuridinas (10b)

[0095] Produktas 10b buvo išskirtas kaip bespalvis aliejus (53 mg, 32% išeiga per 2 etapus iš 0,37 mmol 2',3',5'-tri-O-acetil-5-fluorouridino (2b)).

[0096] (10b): Rf = 0,25 [DCM:MeOH (30:1)]; 1H NMR (400 MHz, CDCl3) δ 7,79 (d, J = 5,8 Hz, 1H), 6,14 (dd, J = 4,4, 1,5 Hz, 1H), 5,34 (t, J = 4,9 Hz, 1H), 5,28 (t, J = 5,3 Hz, 1H), 4,52 – 4,40 (m, 2H), 4,43 – 4,21 (m, 3H), 2,16 (s, 3H), 2,10 (s, 3H), 2,09 (s, 3H), 1,77 (p, J = 6,9 Hz, 2H), 1,44 (h, J = 7,4 Hz, 2H), 0,95 (t, J = 7,4 Hz, 3H); 13C NMR (100 MHz, CDCl3) δ 170,1, 169,7, 169,6, 163,0 (d, J = 13,0 Hz), 153,5, 137,2 (d, J = 248,9 Hz), 126,3 (d, J = 32,2 Hz), 88,3, 79,9, 73,7, 69,7, 68,6, 62,7, 30,5, 20,8, 20,6 (2C), 19,1, 13,8; LCMS; HRMS (ESI) suskaičiuota C19H25O9N2FNa (M+Na)+: 467,1436; rasta 467,1431.

[0097]

[0098] 2', 3', 5'-Tri-O-acetil-5-fluor-4-benziloksiuridinas (11b)

[0099] Produktas 11b buvo išskirtas kaip bespalvis aliejus (40 mg, 23% išeiga iš 0,37 mmol 2',3',5'-tri-O-acetil-5-fluorouridino (2b)).

[0100] (11b): Rf = 0,25-0,35 [DCM:MeOH (30:1)]; 1H NMR (400 MHz, CDCl3) δ 7,84 (d, J = 5,7 Hz, 1H), 7,50 – 7,43 (m, 2H), 7,43 – 7,33 (m, 3H), 6,15 (dd, J = 4,4, 1,5 Hz, 1H), 5,50 (s, 2H), 5,36 (dd, J = 5,4, 4,3 Hz, 1H), 5,29 (t, J = 5,4 Hz, 1H), 4,44 – 4,31 (m, 3H), 2,16 (s, 3H), 2,12 (s, 3H), 2,09 (s, 3H); 13C NMR (100 MHz, CDCl3) δ 170,1, 169,7, 169,6, 162,6 (d, J = 13,1 Hz), 153,3, 137,1 (d, J = 249,2 Hz), 134,7, 128,9, 128,8 (4C), 126,7 (d, J = 32,0 Hz), 88,4, 79,9, 73,8, 70,0, 69,7, 62,7, 20,8, 20,61 (2C); HRMS (ESI) suskaičiuota C22H23O9N2FNa (M+Na)+: 501,1280; rasta 501,1278.

[0101] 2',3',5'-Tri-O-acetil-5-fluor-4-metoksiuridino (9b), 2',3',5'-Tri-O-acetil-5-fluor-4-butoksiuridino (10b) ir 2', 3', 5'-Tri-O-acetil-5-fluor-4-benziloksiuridino (11b) darinių deacetilinimas buvo atlikti reakcijos mišinyje, kuriame yra 40 mM kalio fosfato buferio, pH 7,5, 0,5 mg/ml esterazės SVG1 (Urbelienė, N., ir kt., 2019) ir 12-20 mg/ml darinio (iš 100 mM koncentrato, tirpinto DMSO). Reakcijos mišinys buvo inkubuojamas 37 °C temperatūroje iki 3 valandų. Pasibaigus reakcijai esterazė buvo pašalinta naudojant centrifuginius mėgintuvėlius su 10 kDa filtru (Amicon Ultra-4). Tirpikliai buvo nugarinti rotaciniu garintuvu.

[0102] Tionų 5a ir 5b sintezė

[0103]

[0104] 2',3',5'-tri-O-acetil-4-tiouridinas (5a)

[0105] Acto rūgšties anhidridas (172 mmol, 16,3 ml) buvo lašinamas į uridino (1a, 41 mmol, 10 g) tirpalą piridine (120 ml) ir inkubuojams maišant kambario temperatūroje 18-20 val. Reakcija buvo sustabdyta pridėjus metanolio (20 ml). Tirpikliai buvo išgarinami rotaciniu garintuvu. Didžioji dalis piridino buvo pašalinta atliekant ko-garinimą su toluenu (kartota 5 × 30 ml). 2', 3', 5'-Tri-O-acetiluridinas (2a) buvo gautas kaip bespalvis aliejus (16,9 g) ir be tolesnio gryninimo buvo ištirpintas dioksane (250 ml). Po to pridėta fosforo pentasulfido (91,2 mmol, 20,3 g) ir virinama su grįžtamu šaldytuvu. Po 2 valandų reakcijos mišinys atšaldomas ir filtruojamas. Likusios kietos medžiagos buvo plaunamos DCM (3 x 50 ml) ir filtratas koncentruojamas sumažintame slėgyje. Likęs neapdorotas mišinys vėl ištirpinamas DCM (200 ml), filtruojamas per celito sluoksnį (plaunant jį papildoma DCM dalimi, 100 ml) ir dar kartą koncentruojamas rotaciniu garintuvu. Gauta alyva buvo chromatografuojama kolonėlėje (dvi kolonėlės: 1, DCM: MeOH nuo 100:1 iki 25:1 ir 2, THF:heksanas nuo 1:2,3 iki 1:1,8), 2',3',5'-Tri-O-acetil-4-tiouridinas (5a) buvo išskirtas kaip bespalvis aliejus (10 g, 63% išeiga).

[0106] (5a) (Kaleta, Z, et, Al,; 2006): Rf = 0,65 [DCM:MeOH (19:1)]; 1H NMR (400 MHz, CDCl3) δ 10,12 (s, 1H), 7,23 (d, J = 7,7 Hz, 1H), 6,42 (dd, J = 7,7, 1,7 Hz, 1H), 5,97 (d, J = 4,9 Hz, 1H), 5,39 – 5,28 (m, 2H), 4,41 – 4,29 (m, 3H), 2,13 (s, 3H), 2,11 (s, 3H), 2,10 (s, 3H); 13C NMR (100 MHz, CDCl3) δ 189,9, 170,2, 169,7 (2C), 147,6, 133,7, 114,1, 88,1, 80,2, 73,0, 70,2, 63,1, 20,9, 20,6, 20,5.

[0107]

[0108] 2',3',5'-tri-O-acetil-5-fluor-4-tiouridinas (5b)

[0109] 2',3',5'-tri-O-acetil-5-fluor-4-tiouridinas (5b) buvo susintetintas pagal 2',3',5'-tri-O-acetil-4-tiouridino procedūrą (5a). Reakcija buvo atlikta naudojant 5-fluorouridiną (1b, 6,37 mmol, 1,67g. Produktas 5b buvo išskirtas kaip geltona alyva (2,5 g, 97%).

[0110] (5b) (Wenska, G,; 2002): Rf = 0,5 [DCM:MeOH (19:1)]; 1H NMR (400 MHz, CDCl3) δ 10,48 (s, 1H), 7,55 (d, J = 4,3 Hz, 1H), 6,02 (dd, J = 4,7, 1,4 Hz, 1H), 5,36 (t, J = 5,2 Hz, 1H), 5,34 – 5,24 (m, 1H), 4,43 – 4,30 (m, 2H), 2,16 (s, 3H), 2,11 (s, 6H); 13C NMR (100 MHz, CDCl3) δ 180,3 (d, J = 31,2 Hz), 170,2, 169,8, 169,7, 147,5 (d, J = 227,3 Hz), 146,8, 119,2 (d, J = 41,3 Hz), 87,9, 80,3, 73,1, 69,9, 62,9, 20,8, 20,6, 20,5; 19F NMR (375 MHz, CDCl3) δ -144,57 (d, J = 4,1 Hz).

[0111]

[0112] 4-S-metiltiouridinas (6a)

[0113] Jodmetano (5,5 mmol, 324 µL) buvo pridėta į vandens-metanolio (1:5, 30 ml) 2',3',5'-tri-O-acetil-4-tiouridino (5a, 3,1 mmol, 1,18 g) tirpalą. Po to lėtai per 20 minučių buvo pridėta 1 M NaOH (3 ml, vandeninis tirpalas). Po 20 minučių maišymo kambario temperatūroje reakcija buvo sustabdyta pridedant acto rūgšties (3 mmol, 172 µL). Reakcijos mišinys sukoncentruotas rotaciniu garintuvu ir išgrynintas chromatografijos kolonėlėje (DCM:MeOH gradientas nuo 14:1 iki 11:1). 4-S-metiltiouridinas (6a) buvo išskirtas kaip balta amorfinė kieta medžiaga (370 mg, 43%).

[0114] (6a): Rf = 0,3 [DCM:MeOH (9:1)]; 1H NMR (400 MHz, MeOD-d4) δ 8,31 (d, J = 7,1 Hz, 1H), 6,47 (d, J = 7,2 Hz, 1H), 5,85 (d, J = 2,0 Hz, 1H), 4,21 – 4,11 (m, 2H), 4,12 – 4,03 (m, 1H), 3,94 (dd, J = 12,4, 2,4 Hz, 1H), 3,78 (dd, J = 12,4, 2,9 Hz, 1H), 2,53 (s, 3H); 13C NMR (100 MHz, MeOD-d4) δ 180,5, 156,4, 142,0, 104,9, 92,9, 85,9, 76,5, 70,1, 61,4, 12,9; HRMS (ESI) calcd for C10H15O5N2S (M+H)+: 275,0696; rasta 275,0691.

[0115]

[0116] 5-fluor-4-S-metiltiouridinas (6b)

[0117] 5-fluor-4-S-metiltiouridinas (6b) buvo susintetintas pagal 4-S-metiltiouridino (6a) procedūrą. Reakcija buvo atlikta naudojant 2',3',5'-tri-O-acetil-5-fluor-4-tiouridiną (5b, 1,24 mmol, 0,5 g). Reakcija vykdyta 1 val. Produktas 6b buvo išskirtas kaip balta amorfinė kieta medžiaga (90 mg, 25%).

[0118] (6b): Rf = 0,4 [DCM:MeOH (9:1)]; 1H NMR (400 MHz, MeOD-d4) δ 8,61 (d, J = 5,8 Hz, 1H), 5,80 (t, J = 1,8 Hz, 1H), 4,21 – 4,11 (m, 2H), 4,08 (dt, J = 7,1, 2,4 Hz, 1H), 3,98 (dd, J = 12,4, 2,4 Hz, 1H), 3,80 (dd, J = 12,4, 2,3 Hz, 1H), 2,56 (s, 3H); 13C NMR (100 MHz, MeOD-d4) δ 171,3 (d, J = 17,6 Hz), 154,6, 145,7 (d, J = 240,0 Hz), 127,1 (d, J = 35,4 Hz), 92,9, 85,8, 76,6, 69,6, 60,8, 12,0 (d, J = 2,2 Hz); HRMS (ESI) calcd for C10H14O5N2SF (M+H)+: 293,0602; rasta 293,0603.

[0119]

[0120] 4-S-etiltiouridinas (7a)

[0121] 4-S-etiltiouridinas (7a) buvo susintetintas pagal 4-S-metiltiouridino (6a) procedūrą. Reakcija buvo atlikta naudojant 2',3',5'-tri-O-acetil-4-tiouridiną (5a, 1,29 mmol, 0,5 g) ir jod-etaną (4,2 mmol, 335 µL), reakcija vykdyta 18 val. Produktas 7a buvo išskirtas kaip balta amorfinė kieta medžiaga (310 mg, 83%).

[0122] (7a): Rf = 0,4 [DCM:MeOH (9:1)]; 1H NMR (400 MHz, MeOD-d4) δ 8,31 (d, J = 7,1 Hz, 1H), 6,43 (d, J = 7,2 Hz, 1H), 5,85 (d, J = 1,9 Hz, 1H), 4,18 – 4,11 (m, 2H), 4,12 – 4,03 (m, 1H), 3,94 (dd, J = 12,4, 2,5 Hz, 1H), 3,78 (dd, J = 12,4, 2,9 Hz, 1H), 3,17 (q, J = 7,3 Hz, 2H), 1,34 (t, J = 7,4 Hz, 3H); 13C NMR (100 MHz, MeOD-d4) δ 180,0, 156,4, 142,1, 105,2, 93,0, 85,8, 76,5, 70,1, 61,4, 25,0, 14,6.

[0123]

[0124] 5-fluor-4-S-etiltiouridinas (7b)

[0125] 5-fluor-4-S-etiltiouridinas (7b) buvo susintetintas pagal 4-S-metiltiouridino (6a) procedūrą. Reakcija buvo atlikta naudojant 2',3',5'-tri-O-acetil-5-fluor-4-tiouridiną (5b, 1,24 mmol, 0,5 g) ir jodetaną (2,5 mmol, 200 µL), reakcija vykdyta 2 val. Produktas 7b buvo išskirtas kaip balta amorfinė kieta medžiaga (150 mg, 39%).

[0126] (7b): Rf = 0,5 [DCM:MeOH (9:1)]; 1H NMR (400 MHz, MeOD-d4) δ 8,61 (d, J = 5,8 Hz, 1H), 5,80 (t, J = 1,7 Hz, 1H), 4,21 – 4,11 (m, 2H), 4,08 (dt, J = 7,0, 2,3 Hz, 1H), 3,98 (dd, J = 12,4, 2,4 Hz, 1H), 3,79 (dd, J = 12,4, 2,3 Hz, 1H), 3,22 (q, J = 7,4 Hz, 2H), 1,37 (t, J = 7,4 Hz, 3H); 13C NMR (100 MHz, MeOD-d4) δ 170,9 (d, J = 17,4 Hz), 154,6, 145,5 (d, J = 239,9 Hz), 127,3 (d, J = 35,4 Hz), 92,9, 85,8, 76,6, 69,7, 60,8, 24,3 (d, J = 1,9 Hz), 14,4; HRMS (ESI) suskaičiuota pagal molekulę C11H16O5N2SF: 307,0758; rasta 307,0760.

[0127]

[0128] 4-S-benziltiouridinas (8a)

[0129] 4-S-benziltiouridinas (8a) buvo susintetintas pagal 4-S-metiltiouridino (6a) procedūrą. Reakcija buvo atlikta naudojant 2',3',5'-tri-O-acetil-4-tiouridiną (5a, 3,1 mmol, 1,18 g) ir benzilbromidą (3,4 mmol, 410 µL), reakcija sustabdyta po 20 min. Produktas 8a buvo išskirtas kaip balta amorfinė kieta medžiaga (700 mg, 64%).

[0130] (8a): Rf = 0,4 [DCM:MeOH (9:1)]; 1H NMR (400 MHz, MeOD-d4) δ 8,34 (d, J = 7,1 Hz, 1H), 7,44 – 7,38 (m, 2H), 7,34 – 7,19 (m, 3H), 6,43 (d, J = 7,2 Hz, 1H), 5,87 (d, J = 2,1 Hz, 1H), 4,44 (s, 2H), 4,18 – 4,11 (m, 2H), 4,08 (dt, J = 5,9, 2,7 Hz, 1H), 3,94 (dd, J = 12,4, 2,4 Hz, 1H), 3,78 (dd, J = 12,5, 2,8 Hz, 1H); 13C NMR (100 MHz, MeOD-d4) δ 179,2, 156,3, 142,5, 138,3, 130,2 (2C), 129,6 (2C), 128,5, 104,8, 93,0, 85,9, 76,5, 70,1, 61,4, 34,6; HRMS (ESI) suskaičiuota C16H19O5N2S (M+H)+: 351,1009; rasta 351,1007.

[0131]

[0132] 5-fluor-4-S-benziltiouridinas (8b)

[0133] 5-fluor-4-S-benziltiouridinas (8b) buvo susintetintas pagal 4-S-metiltiouridino (6a) procedūrą. Reakcija buvo atlikta naudojant 2',3',5'-tri-O-acetil-5-fluor-4-tiouridiną (5b, 1,24 mmol, 0,5 g) ir benzilbromidą (2,0 mmol, 240 µL). Reakcija sustabdyta po 2 val. Produktas 8b buvo išskirtas kaip balta amorfinė kieta medžiaga (130 mg, 28%).

[0134] (8b): Rf = 0,5 [DCM:MeOH (9:1)]; 1H NMR (400 MHz, MeOD-d4) δ 8,64 (d, J = 5,7 Hz, 1H), 7,47 – 7,39 (m, 2H), 7,35 – 7,20 (m, 3H), 5,82 (t, J = 1,6 Hz, 1H), 4,48 (s, 2H), 4,21 – 4,12 (m, 2H), 4,08 (dt, J = 6,7, 2,4 Hz, 1H), 3,98 (dd, J = 12,4, 2,4 Hz, 1H), 3,79 (dd, J = 12,5, 2,3 Hz, 1H); 13C NMR (100 MHz, MeOD-d4) δ 170,1 (d, J = 17,9 Hz), 154,4, 145,2 (d, J = 239,7 Hz), 137,8, 130,3 (2C), 129,7 (2C), 128,7, 127,7 (d, J = 35,5 Hz), 93,0, 85,8, 76,6, 69,6, 60,8, 33,8 (d, J = 1,8 Hz; HRMS (ESI) suskaičiuota C16H18O5N2SF (M+H)+: 369,0919; rasta 369,0919.

[0135] 2 pavyzdys. N4-alkilintų 2'-deoksicitidino darinių sintezė.

[0136] Bendra informacija. Cheminės medžiagos ir tirpikliai buvo įsigyti iš Sigma-Aldrich ir Alfa Aesar ir naudojami be tolesnio valymo. HPLC-MS buvo atlikta naudojant sistemą, sudarytą iš CBM-20A valdymo bloko, dviejų LC-2020AD siurblių, SIL-30AC automatinio bandinių ėmiklio ir CTO-20AC kolonų termostato, panaudojant SPD-M20A fotodiodų gardelės detektorių ir LCMS-2020 masių spektrometrą su ESI šaltiniu. Chromatografinis frakcionavimas atliktas naudojant YMC – Pack Pro C18, 150×3 mm kolonėlę (YMC, Japonija), vandeninio 0,1 % skruzdžių rūgšties tirpalo ir acetonitrilo gradiente (temperatūra – 40 °C). Masių spektrai buvo užrašyti nuo 10 m/z iki 500 m/z, esant 350 °C temperatūrai ir ±4500 V įtampai (neutrali DL/Qarray įtampa), naudojant N2 kaip purškiamąsias ir džiovinamąsias dujas. Masių spektrometrijos analizė buvo atlikta tiek teigiamos bei neigiamos jonizacijos režimu. Duomenų analizė vykdyta su LabSolutions LC/MS programine įranga.

[0137] Plonasluoksnė chromatografija (TLC). Reakcijų eiga ir medžiagų grynumas sekami plonasluoksne chromatografine analize, naudojant aliuminio plokšteles, padengtas silikageliu 60 F254 (Merck). TLC mobilios fazės – chloroformas bei chloroformo-metanolio mišinys, tūriniai santykiai – 9:1 bei 5:1. Gryninant susintetintus produktus kolonėlinės chromatografijos būdu, kolonėlė užpildoma silikageliu 60 (0,063-0,2 mm) (Merck). Eliuentai – chloroformas bei chloroformo-metanolio mišiniai įvairiais tūriniais santykiais. 1H ir 13C BMR spektrai užrašyti Bruker Ascend 400 spektrometru. 400 MHz dažnis 1H BMR, 101 MHz dažnis 13C BMR.

[0138] Bendroji N4-alkilintų 2'-deoksicitidinų sintezės procedūra

[0139] 4-tiouridinų alkilinimo reakcijos buvo paruoštos pagal literatūroje aprašytus metodus: Į 4-tio-2'-deoksiuridino (37 mg, 0,15 mmol) tirpalą 70 % vandeniniame etanolio tirpale (1 ml) buvo pridėta atitinkamo amino (0,45 mmol). Mišinys maišomas 24–60 valandas 55 °C temperatūroje. Reakcijos pabaiga buvo nustatyta plonasluoksnės chromatografijos būdu (TLC, chloroformas/metanolis, 9/1), Reakcijai pasibaigus (TLC), tirpikliai išgarinami rotaciniu garintuvu. Likutis ištirpintas chloroforme ir išgrynintas kolonėlės chromatografija (silikagelis, chloroformo/metanolio mišinys, 10:0 → 9:1) arba vandenyje ir išgrynintas atvirkštinės fazės kolonėlės chromatografija (C-18 kasetės, vandens/metanolio mišinys, 10 :0 → 10:2). Išgryninus, tirpikliai buvo pašalinti rotaciniu garintuvu. Susintetinti modifikuoti nukleozidai buvo analizuojami BMR spektroskopija ir HPLC-MS analize.

[0140] Bendra 5-fluor-N4-alkil -2'-deoksicitidino darinių sintezės procedūra

[0141] Į 5-fluor-4-tio-2'-deoksiuridino (39 mg, 0,15 mmol) tirpalą 75% vandeniniame etanolio tirpale (1 ml) buvo pridėta atitinkamo amino (0,45 mmol). Mišinys maišomas 72–120 valandų 55 °C temperatūroje. Reakcijos pabaiga buvo nustatyta plonasluoksne chromatografija (TLC, chloroformas/metanolis, 9/1), Reakcijai pasibaigus (TLC), tirpikliai išgarinami rotaciniu garintuvu). Likutis ištirpintas chloroforme ir išgrynintas kolonėlės chromatografija (silikagelis, chloroformo/metanolio mišinys, 10:09:1) arba vandenyje ir išgrynintas atvirkštinės fazės kolonėlės chromatografija (C-18 kasetės, vandens/metanolio mišinys, 10 :0 → 10:2). Tirpikliai buvo pašalinti rotaciniu garintuvu. Gautų N4-alkil-5-fluor-2'-deoksicitidinų išeigos siekė 39-81%. Susintetinti modifikuoti nukleozidai buvo analizuojami BMR spektroskopija ir HPLC-MS analize.

[0142]

[0143] N4-heksil-2'-deoksicitidinas (12a). Gautas kiekis 42 mg (90%).

[0144] MS (ESI+): m/z 312,00 [M+H]+, 310,00 [M-H]–, UV (CH3OH) λmax 282 nm.

[0145] 1H NMR (400 MHz, DMSO-d6): δ = 7,65 (d, J = 7,5 Hz, 1H, CH=), 7,61 (t, J = 5,5 Hz, 1H, NH), 6,09 (dd, J = 7,3, 6,2 Hz, 1H, CH), 5,66 (d, J = 7,5 Hz, 1H, CH=), 5,12 (d, J = 4,2 Hz, 1H, OH), 4,92 (t, J = 10,6, 4,2 Hz, 1H, OH), 4,21–4,06 (m, 1H, CH), 3,76–3,61 (m, 1H, CH), 3,55–3,38 (m, 2H, CH2), 3,22–3,07 (m, 2H, CH2), 2,11–1,95 (m, 1H, CH2), 1,93–1,79 (m, 1H, CH2), 1,45–1,35 (m, 2H, CH2), 1,25–1,17 (m, 6H, CH2), 0,79 (t, J = 4,8 Hz, 3H, CH3).

[0146] 13C NMR (101 MHz, DMSO-d6): δ = 163,70, 155,56, 140,11, 95,12, 87,60, 85,25, 70,92, 61,88, 40,73, 31,49, 29,01, 26,63, 22,54, 14,38.

[0147] 5-fluoro-N4-heksil-2'-deoksicitidinas (12b). Gautas kiekis 40 mg (81%).

[0148] MS (ESI+): m/z 329,85 [M+H]+, 327,85 [M-H]–, UV (CH3OH) λmax 280; 250 nm.

[0149] 1H NMR (400 MHz, DMSO-d6): δ = 8,05 (d, J = 7,4 Hz, 1H, CH=), 8,03–7,99 (m, 1H, NH), 6,12 (t, J = 7,4 Hz, 1H, CH), 5,21 (d, J = 4,2 Hz, 1H, OH), 5,10 (t, J = 5,1 Hz, 1H, OH), 4,26–4,16 (m, 1H, CH), 3,95–3,71 (m, 1H, CH), 3,67–3,49 (m, 2H, CH2), 3,28 (dd, J = 13,5, 6,6 Hz, 2H,CH2), 2,11 (ddd, J = 13,1, 5,9, 3,5 Hz, 1H,CH2), 1,98 (dt, J = 13,1, 6,4 Hz, 1H, CH2), 1,60–1,43 (m, 2H,CH2), 1,35–1,18 (m, 6H, CH2), 0,86 (t, J = 6,7 Hz, 3H,CH3).

[0150] 13C NMR (101 MHz, DMSO-d6): δ = 155,31, 153,76, 138,00, 135,59, 124,55, 87,77, 85,57, 70,63, 61,55, 40,84, 31,45, 28,80, 26,55, 22,53, 14,35.

[0151]

[0152] 4-(4-morfolinyl)-2'-deoksiuridinas (13a). Gautas kiekis 36 mg (81%).

[0153] MS (ESI+): m/z 297,90 [M+H]+, 295,90 [M-H]–, UV (CH3OH) λmax 286 nm,

[0154] 1H NMR (400 MHz, DMSO-d6): δ = 7,96 (d, J = 7,8 Hz, 1H, CH=), 6,18 (d, J = 7,8 Hz, 1H, CH=), 6,14 (t, J = 6,6 Hz, 1H, CH), 5,22 (bs, 1H, OH), 5,04 (bs, 1H, OH), 4,27–4,17 (m, 1H, CH), 3,84–3,76 (m, 1H, CH), 3,68–3,54 (m, 10H, 5CH2), 2,21–2,10 (m, 1H, CH2), 2,01–1,91 (m, 1H, CH2).

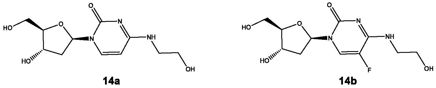
[0155] 13C NMR (101 MHz, DMSO-d6): δ = 163,06, 154,83, 142,15, 91,60, 87,79, 85,52, 70,72, 66,18, 65,99, 61,67, 41,01.

[0156] 5-fluoro-4-(4-morfolinyl)-2'-deoksiuridinas (13b). Gautas kiekis 26 mg (55%).

[0157] MS (ESI+): m/z 315,85 [M+H]+, UV (CH3OH) λmax 293 nm.

[0158] 1H NMR (400 MHz, DMSO-d6): δ = 8,22 (d, J = 10,2 Hz, 1H, CH=), 6,07 (t, J = 6,4 Hz, 1H,CH), 5,22 (bs, 2H, 2OH), 4,30–4,18 (m, 1H, CH), 3,81–3,76 (m, 1H, CH), 3,73–3,70 (m, 2H,CH2), 3,68–3,64 (m, 4H,CH2), 3,62– 3,56 (m, 4H,CH2), 2,18–2,11 (m, 1H,CH2), 2,04–1,97 (m, 1H,CH2).

[0159] 13C NMR (101 MHz, DMSO-d6): δ = 154,45, 152,69, 138,44, 136,01, 128,73, 87,93, 85,66, 70,43, 66,44, 61,35, 46,41, 45,38, 41,01.

[0160]

[0161] N4-2-hidroksietil-2'-deoksicitidinas (14a). Gautas kiekis 30 mg (75%).

[0162] MS (ESI+): m/z 271,90 [M+H]+, 269,90 [M-H]–, UV (CH3OH) λmax 281 nm.

[0163] 1H NMR (400 MHz, DMSO-d6): δ = 7,79 (t, J = 5,5 Hz, 1H, NH), 7,73 (d, J = 7,5 Hz, 1H, CH=), 6,16 (dd, J = 10,3, 3,1 Hz, 1H, CH), 5,80 (d, J = 7,5 Hz, 1H, CH=), 4,19 (dt, J = 6,1, 3,1 Hz, 1H, CH), 3,77–3,74 (m, 1H, CH), 3,57–3,52 (m, 2H, CH2), 3,49 (d, J = 5,8 Hz, 2H, CH2), 3,31 (q, J = 5,6 Hz, 2H, CH2), 2,17–2,02 (m, 1H, CH2), 1,93 (dd, J = 13,9, 6,7 Hz, 1H, CH2).

[0164] 13C NMR (101 MHz, DMSO-d6): δ = 163,96, 155,51, 140,18, 95,22, 87,61, 85,27, 70,87, 61,84, 59,96, 43,11, 40,75.

[0165] 5-fluoro-N4-2-hidroksietil-2'-deoksicitidinas (14b). Gautas kiekis 32 mg (74%).

[0166] MS (ESI+): m/z 289,80 [M+H]+, 287,80 [M-H]–, UV (CH3OH) λmax 280; 245 nm.

[0167] 1H NMR (400 MHz, DMSO-d6): δ = 8,06 (d, J = 7,3 Hz, 1H, CH=), 7,94 (s, 1H, NH), 6,11 (t, J = 6,2 Hz, 1H, CH), 5,12 (bs, 2H, 2OH), 4,79 (bs, 1H, OH), 4,26–4,16 (m, 1H, CH), 3,81–3,74 (m, 1H, CH), 3,66–3,56 (m, 2H, CH2), 3,53–3,49 (m, 2H, CH2), 3,45–3,40 (m, 2H), 2,18–2,05 (m, 1H, CH2), 1,98 (dt, J = 13,1, 6,5 Hz, 1H, CH2).

[0168] 13C NMR (101 MHz, DMSO-d6): δ = 155,63, 153,67, 138,03, 135,64, 124,74, 87,74, 85,58, 70,61, 61,54, 59,49, 42,94.

[0169]

[0170] N4-2-aminoetil-2'-deoksicitidinas (15). Gautas kiekis 37 mg (91%).

[0171] MS (ESI+): m/z 270,95 [M+H]+, 268,95 [M-H]–, UV (CH3OH) λmax 273 nm.

[0172] 1H NMR (400 MHz, DMSO-d6): δ = 8,01–7,76 (m, 1H, NH), 7,74 (d, J = 7,5 Hz, 1H, CH=), 6,21–6,10 (m, 1H, CH), 5,77 (d, J = 7,5 Hz, 1H, CH=), 4,20 (dt, J = 6,1, 3,2 Hz, 1H, CH), 3,80–3,71 (m, 3H, CH, CH2), 3,60–3,48 (m, 2H, CH2), 3,25 (s, 2H, CH2), 2,67 (t, J = 6,3 Hz, 2H, CH2), 2,15–2,02 (m, 1H, CH2), 1,98–1,88 (m, 1H, CH2).

[0173] 13C NMR (101 MHz, DMSO-d6): δ = 163,91, 155,53, 140,08, 95,19, 87,62, 85,26, 70,84, 61,81, 43,46, 41,06, 40,73.

[0174]

[0175] 4-(indolin-1-yl)-2'-deoksiuridinas (16). Gautas kiekis 26 mg (53%).

[0176] MS (ESI+): m/z 329,90 [M+H]+, 327,90 [M-H]–, UV (CH3OH) λmax 320 nm.

[0177] 1H NMR (400 MHz, DMSO-d6): δ = 8,54 (s, 2H), 8,13 (d, J = 7,6 Hz, 2H), 7,26 (d, J = 7,3 Hz, 2H), 7,20 (t, J = 7,7 Hz, 2H), 7,00 (td, J = 7,4, 0,8 Hz, 2H), 6,20 (t, J = 6,5 Hz, 2H), 6,16 (d, J = 7,3 Hz, 1H), 5,25 (d, J = 4,2 Hz, 2H), 5,06 (t, J = 5,2 Hz, 2H), 4,24 (td, J = 7,3, 3,6 Hz, 2H), 4,10 (t, J = 8,7 Hz, 2H), 3,83 (q, J = 3,6 Hz, 2H), 3,67–3,51 (m, 5H), 3,19 (t, J = 8,5 Hz, 2H), 2,28–2,16 (m, J = 13,2, 6,0, 3,6 Hz, 2H), 2,07–1,95 (m, 2H).

[0178] 13C NMR (101 MHz, DMSO-d6): δ = 161,21 (s), 154,06 (s), 143,23 (s), 142,36 (s), 133,14 (s), 127,07 (s), 125,17 (s), 123,50 (s), 94,03 (s), 87,97 (s), 85,90 (s), 70,69 (s), 61,58 (s), 49,01 (s), 40,62 (s), 27,22 (s).

[0179]

[0180] N4-((1H-indol-6-yl)metil)-2'-deoksicitidinas (17). Gautas kiekis 35 mg (65%).

[0181] MS (ESI+): m/z 357,00 [M+H]+, 355,00 [M-H]–, UV (CH3OH) λmax 282 nm.

[0182] 1H NMR (400 MHz, DMSO-d6): δ = 11,05 (s, 1H, NH), 8,13 (t, J = 5,7 Hz, 1H, NH), 7,77 (d, J = 7,5 Hz, 1H, CH=), 7,48 (d, J = 8,1 Hz, 1H, CH), 7,32 (s, 1H), 7,31–7,29 (m, 1H, CH), 6,95 (dd, J = 8,1, 1,3 Hz, 1H, CH), 6,41–6,36 (m, 1H, CH), 6,22–6,15 (m, 1H, CH), 5,83 (d, J = 7,5 Hz, 1H, CH=), 5,20 (d, J = 4,2 Hz, 1H, OH), 4,97 (t, J = 5,3 Hz, 1H, OH), 4,56 (d, J = 5,7 Hz, 2H, CH2), 4,28–4,14 (m, J = 3,3 Hz, 1H, CH), 3,83–3,66 (m, 1H, CH), 3,61–3,48 (m, 2H, CH2), 2,15 – 2,05 (m, 1H, CH2), 2,00–1,90 (m, 1H, CH2).

[0183] 13C NMR (101 MHz, DMSO-d6): δ = 163,59, 155,53, 140,31, 136,48, 132,02, 127,20, 125,80, 120,24, 110,78, 101,33, 95,10, 87,64, 85,24, 79,70, 70,88, 61,82, 56,54, 44,18.

[0184]

[0185] N4-(2,3,4,5,6-pentahidroksiheksil)-2'-deoksicitidinas (18). Gautas kiekis 35 mg (60%).

[0186] MS (ESI+): m/z 391,85 [M+H]+, UV (CH3OH) λmax 282 nm.

[0187] 1H NMR (400 MHz, DMSO-d6): δ = 7,73 (d, J = 7,5 Hz, 1H, CH=), 7,70 (t, J = 5,6 Hz, 1H, NH), 6,18–6,13 (m, 1H, CH), 5,85 (d, J = 7,5 Hz, 1H, CH=), 5,19 (d, J = 4,1 Hz, 1H, OH), 5,08–4,85 (m, 2H, 2OH), 4,49 (d, J = 5,2 Hz, 1H, OH), 4,43 (t, J = 5,8 Hz, 2H, CH2), 4,36 (t, J = 5,4 Hz, 1H, CH), 4,22–4,16 (m, 1H, CH), 3,76 (dd, J = 6,9, 3,7 Hz, 1H, CH), 3,73– 3,65 (m, 1H, CH), 3,62–3,51 (m, 4H, CH2, OH), 3,52–3,43 (m, 3H, CH2, OH), 3,40 (dd, J = 9,5, 4,0 Hz, 1H, CH), 3,29–3,13 (m, 1H, CH), 2,09 (ddd, J = 13,1, 5,9, 3,6 Hz, 1H, CH2), 2,02–1,83 (m, 1H, CH2),

[0188] 13C NMR (101 MHz, DMSO-d6): δ = 164,05, 155,38, 140,09, 95,27, 87,53, 85,21, 72,54, 72,08, 71,95, 70,89, 70,06, 63,78, 61,84, 43,66, 40,72.

[0189] 5-fluor-N4-((1H-indol-3-il)propionil)-citidino (19) sintezė

[0190] Indolo propiono rūgštis buvo aktyvuota indolo propiono rūgštimi (1 mmol), N,N-dicikloheksilkarbodiimido (DCC) (1 mmol) ir N-hidroksisukcinimido (NHS (1 mmol) mišinyje 10 ml etilacetato tirpalo. Mišinys maišomas 24 val, kambario temperatūroje (25-30 °C). Į aktyvintos rūgšties tirpalą buvo įpilta 5-fluorcitidino (261 mg, 1 mmol) tirpalo N,N-dimetilformamide (1 ml). Mišinys maišomas 72 valandas kambario temperatūroje. (25-30°C). Reakcijos pabaiga nustatyta plonasluoksnės chromatografijos būdu (TLC, chloroformas/metanolis, 9/1). Reakcijai pasibaigus, tirpikliai buvo išgarinami rotaciniu garintuvu, tuomet produktas buvo ištirpintas chloroforme ir išgrynintas chromatografijos kolonėlėje (silikagelis, chloroformo/metanolio mišinys, 2%→16% metanolio gradientas). Susintetintas modifikuotas nukleozidas charakterizuotas BMR spektroskopija ir HPLC-MS analize.

[0191]

[0192] 5-fluoro-N4-((1H-indol-3-yl)propionyl)-citidinas (19). Gautas kiekis 35 mg (60%).

[0193] HPLC-MS (ESI+): m/z 433 [M+H]+; 431 [M-H]–, UV – λmax1 = 247 nm, λmax2 = 291 nm.

[0194] 1H (DMSO-d6, 400 MHz) δ = 2,85–2,94 (2H, m, –CH2); 2,95–3,04 (2H, m, –CH2); 3,66–3,55 (1H, m, –CH); 3,72–3,89 (1H, m, –CH); 3,87–3,94 (1H, m, –CH); 3,99 (2H, s, –CH2); 4,11 (1H, d, J = 5,4 Hz, –OH); 5,36 (1H, d, J = 4,5 Hz, –OH); 5,53–5,59 (1H, m, –OH); 5,67–5,76 (1H, m, –CH); 6,95–7,01 (1H, m, –CH); 7,03–7,10 (1H, m,–CH); 7,09–7,14 (1H, m, –CH); 7,13 (1H, d, J = 2,3 Hz, –CH); 7,33 (1H, d, J = 8,1 Hz, =CH); 7,57 (1H, d, J = 7,7 Hz, =CH); 8,70 (1H, d, J = 6,8 Hz, –CH); 10,72–10,86 (1H, m, –NH), 13C BMR (DMSO-d6, 101 MHz) δ = 20,60; 25,69; 25,92; 37,88; 49,07; 59,85; 60,59; 68,67; 69,45; 74,69; 74,99; 84,53; 89,73; 90,79; 111,79; 113,77; 118,66; 118,83; 121,39; 121,39; 122,83; 123,17; 127,43; 136,69; 170,72; 173,24.

[0195] 3 pavyzdys. Hidrolazių genų identifikavimas ir klonavimas į E.coli genų raiškos vektorių

[0196] Klonai, pasižymintys hidrolazės aktyvumu, buvo identifikuoti MD terpėje (33,9 g/l Na2HPO4 15 g/l KH2PO4, 5 g/l NH4Cl, 2,5 g/l NaCl, 0,2% (m/t) gliukozės, 0,2% kazamino rūgščių, 1 mM IPTG) su 100 μg/mL ampicilino, 0,02 mg/mL uridino šaltinio – N4-benzoil-2'-deoksicitidino (atrinktos sekos ID Nr.: 1/2/3), S4-metiltiouridino (atrinktos sekos SEQ ID Nr.: 25/26/27), S4-etiltiouridino (atrinktos sekosSEQ ID Nr.: 28/29/30/31), arba substratų S4-metiltiouridino, S4-etiltiouridino ir S4-benziltiouridino mišinio (atrinktos sekos SEQ ID Nr.: 32-40). Tokioje terpėje auga tik rekombinantiniai klonai, kurie hidrolizuodami citidino darinius, kompensuoja E. coli DH10B ΔpyrFEC::Km (A, Aučynaitė ir kt,, 2018) padermės uridino auksotrofinį požymį. Metagenominės hidrolazės, koduojančios genus, buvo amplifikuotos Phusion DNR polimeraze, naudojant pirminius (Fw) ir atvirkštinius pradmenis (Rv), pagal standartinį PGR protokolą (ThermoFisher Scientific) Fw/Rv:

[0197] AGAAGGAGATATAACTATGATGAACAAGGAAGATTTATTG/GTGGTGGTGATGGTGATGGCCTAAAAGATCCTCTTTCGTGA (SEQ ID Nr: 1);

[0198] AGAAGGAGATATAACTATGAGGCATGACCTCGTC/GTGGTGGTGATGGTGATGGCCA-CCCAAACTGTTCGCGTC (SEQ ID Nr: 2);

[0199] AGAAGGAGATATAACTATGAAGGAAACACTTT-GTCA/GTGGTGGTGATGGTGATGGCCTTTTCCGTAATCCTCGCTC (SEQ ID Nr: 3);

[0200] AGAAGGAGATATAACTATGAACAGACAAGAATTAATAACGTGGTGGTGATGGTGATGGCCAAGCTTTCGTTCGTCATGTAA (SEQ ID Nr: 9);

[0201] AGAAGGAGATATAACTATGATATTATTGAGCGAAGCT/GTGGTGGTGATGGTGATGGCCCTCATCAGTTAAAGTAAATCG (SEQ ID Nr: 25);

[0202] AGAAGGAGATATAACTATGGTAACTAAGAATATTTCC/GTGGTGGTGATGGTGATGGCCCAGAGGCTTGATCTTCAG (SEQ ID Nr: 26);

[0203] AGAAGGAGATATAACTATGAGCGCGGAC-GAAAG/GTGGTGGTGATGGTGATGGCCTTTATCCAGATCTCCCGG (SEQ ID Nr: 27);

[0204] AGAAGGAGATATAACTATGAAAAAGATATCAATTACAAC/GTGGTGGTGATGGTGATGGCCCTCATCCGAAGAGCTAAG (SEQ ID Nr: 28);

[0205] AGAAGGAGATATAACTATGAG-TAAGGTTTCTGATCAGG,GTGGTGGTGATGGTGATGGCCTGCCAGATCCTTCGGTC (SEQ ID Nr: 29);

[0206] AGAAGGAGATATAACTATGACCGACAGAC-GCATCA/GTGGTGGTGATGGTGATGGCCTTCCACTTTCAAACTGTCGA (SEQ ID Nr: 30);

[0207] AGAAGGAGATATAACTATGCGGACCAAAGAAGATT/GTGGTGGTGATGGTGATGGCCGTCGAGCAGGCGGAAAG (SEQ ID Nr: 31);

[0208] AGAAGGAGATATAAC-TATGACAGATTGGACATATTTGAT/GTGGTGGTGATGGTGATGGCCTTTTGCAAGATCTTCTGC (SEQ ID Nr: 32);

[0209] AGAAGGAGATATAACTATGGAC-CTCGAGCGC/GTGGTGGTGATGGTGATGGCCCTTCTTCGCCATATAGTTC (SEQ ID Nr: 33);

[0210] AGAAGGAGATATAACTATGACCGAAAAGAAAATCACC/GTGGTGGTGATGGTGATGGCCAAACTCGGTGAAGGAAAG (SEQ ID Nr: 34);

[0211] AGAAGGAGATATAACTATGAACCAACTGACGCAAC/GTGGTGGTGATGGTGATGGCCGACCCCCAGGTCCTTGG (SEQ ID Nr: 35);

[0212] AGAAGGAGATATAACTATGACCAATGTCAC-TCCCG/GTGGTGGTGATGGTGATGGCCGGATTTTAGATGCGCGGG (SEQ ID Nr: 36);

[0213] AGAAGGAGATATAACTATGACAGAGACAGACAAGAAG/GTGGTGGTGATGGTGATGGCCTCCGTTAATGTCCTCGGC (SEQ ID Nr: 37);

[0214] AGAAGGAGATATAAC-TATGGATGCAGGTTTGTTGATG/GTGGTGGTGATGGTGATGGCCCTGCTTGTTTAAATCCCATG (SEQ ID Nr: 38),

[0215] SEQ ID Nr. 4-8 genai buvo susintetinti Twist Bioscience, JAV, Pietų San Franciske. Visi hidrolazių genai buvo liguoti į pLATE31 (Thermo Fisher Scientific) genų raiškos vektorius, naudojant aLICator LIC Cloning and Expression Kit 3 protokolą (Thermo Fisher Scientific). Ligavimui buvo paruoštas toks reakcijos mišinys: 5X LIC buferis 2 μL, išgrynintas PGR produktas 0,1 pmol, vanduo, be nukleazių iki 9 μL ir 1 μL T4 DNR polimerazės (1 u/μL). Bendras mišinio tūris buvo 10 μl. Reakcijos mišinys buvo inkubuojamas kambario temperatūroje (20-25 °C) 5 min, po inkubacijos reakcija buvo sustabdyta pridedant 0,6 μl 0,5 M EDTA tirpalo. Pridėjus 1 μL pLATE31 LIC paruošto vektoriaus (60 ng, 0,02 pmol DNR) tirpalo, mišinys buvo inkubuojamas kambario temperatūroje (20-25 °C) 30 min. Kompetentinių DH5α E.coli ląstelių transformacija atlikta elektroporacijos būdu ir ląstelės išsėtos ant LB agaro su atitinkamais antibiotikais. Plazmidinė DNR iš ląstelių klonų biomasės buvo išskirta naudojant "ZR Plasmid Miniprep – Classic" (Zymo Research) plazmidžių gryninimo rinkinį. Genų seka nustatyta Sengerio sekoskaitos metodu.

[0216] 4 pavyzdys. Genų mutagenezė

[0217] Hidrolazės genų mutacijos buvo įvestos naudojant "Phusion™ Site-Directed Mutagenesis Kit" (Thermo Fisher Scientific) protokolą. Specifinei mutagenezei buvo sukurtos pradmenų poros, skirtos amplifikuoti visą plazmidę su tikslinio baltymo genu, kai vienas pradmuo turi nesutampančių bazių porų viduryje. Pasirinktų regionų atsitiktinei mutagenezei (SEQ ID Nr. 16, SEQ ID Nr. 17, SEQ ID Nr.: 18, SEQ ID Nr.: 19, SEQ ID Nr.: 20) buvo naudojama dviejų pakopų mutagenezė: pirmajame etape atlikta dominančios srities tikslinio regiono delecija. Antrajame etape vienas iš pradinių pradmenų buvo modifikuotas pridedant atsitiktinį nukleotidų iškyšą (insertą), užpildantį pirmame etape atliktą deleciją. Mutagenezei naudoti pradmenys (Fw/Rv):

[0218] CTTTTAGGCCATCACCATCACCAC/GAATCGCATCGGCAACAATTCATC (SEQ ID Nr:10);

[0219] GATGCGAGCAACGAAAGAGGATCTTTTAG/GGCAACAATTCATCGATCGTTTTTTCTAACG (SEQ ID Nr:11);

[0220] GATGCGATGGACGAAAGAGGATCTTTTAG/GGCAACAATTCATCGATCGTTTTTTCTAACG (SEQ ID Nr:12);

[0221] TGATAGGGTCATCGCACCTTGCG/CCATCGGTTACGATCGCCAACG (SEQ ID Nr:13);

[0222] TTACGGAGCGGGTAATTGCGG/GAAGCATTTTCGATATTTGCGCCTAAAAAC (SEQ ID Nr:14);

[0223] ATTGCGGTGAATTAAGTGCCATTTTCGC/TGGTCGCTCCGTAAGAAGCATTTTCG (SEQ ID Nr:15);

[0224] GCACCTTGCGGAATCTGCC/ATCACCATCGGTTACGATCGCC/NNNNNNNNNGCACCTTGCGGAATCTGCC/ATCACCATCGGTTACGATCGCC (SEQ ID Nr: 16, SEQ ID Nr: 17, SEQ ID Nr: 18);

[0225] NNNNNNNNNNNNCTTTTAGGCCATCACCATCACCAC/GAATCGCATCGGCAACAATTCATC (SEQ ID Nr: 19, SEQ ID Nr: 20);

[0226] TAACGCGGACATCGCGCCGTG/CCGTTGCAAACAACCGCCAGCG (SEQ ID Nr: 21);

[0227] CGGTCTGACCAACTGCGCGG/TAAGACGCGTTTTCAACGTTGCAACCG (SEQ ID Nr: 22);

[0228] GAAGGTCCGCTGTCTCCGTGC/GGTGTCCGCCGCAACCG (SEQ ID Nr: 23);

[0229] AAAAACCGGCGTTCCCGTGCG/CCGGCGCGATAGAAGAAGAGATCGC (SEQ ID Nr: 24),

[0230] Prieš atliekant PGR, pradmenys buvo fosforilinti reakcijos mišinyje: 1,25 µL oligonukleotido (naudotas 100 µM tirpalo koncentratas), 2,5 µl 10X reakcijos buferis A, skirtas T4 polinukleotidų kinazei, 2,5 µL ATP (10 mM pradinis koncentratas), 1 µL T4 polinukleotidkinazės (PNK)) ir H2O iki 25 µL. Mišinys buvo inkubuojamas 37 °C temperatūroje 30 minučių, po to inaktyvuojama PNK kaitinant reakcijos mišinį 75 °C temperatūroje 10 minučių. DNR buvo amplifikuota PGR reakcijos mišinyje: 10 µL 2X Phusion Green Hot Start II High-Fidelity PCR Master Mix, 2 µL fosforilinto Fw pradmens (5 µM pradinio), 2 µL fosforilinto Rv pradmens (5 µM pradinio pradinio), 0,5 ng plazmidės DNR, su hidrolazės genu, H2O iki 20 µL. PGR sąlygos: pradinė denatūracija - 30 s 1 ciklas 98 °C temperatūroje, 25 ciklai – denatūravimas - 10 s 98 °C temperatūroje; pradmenų prilydymas -15 s 65–72 °C (prilydymo temperatūros skaičiuotos naudojant Thermo Fisher Scientific Tm Calculator), padauginimas - 20 s/kb esant 72 °C; galų užtaisymas – 5 min 72°C temperatūroje. Po PGR amplifikuoti produktai buvo išfrakcionuoti 1% agarozės gelyje elektroforezės būdu. Tinkamo ilgio fragmentas buvo išpjautas iš 1% agarozės gelio atlikus elektroforezę, ir išgrynintas naudojant "GeneJET Gel Extraction Kit" (Thermo Fisher Scientific). Išgryninti fragmentai buvo liguoti esant 4 °C temperatūrai inkubuojant 18 valandų reakcijos mišinyje: 1 µL 10X T4 DNR ligazės buferio, 0,5 µL T4 DNR ligazės (5 U/µL), 1 µL PEG 4000, ~10 ng plazmidinės DNR, iki 10 µL H2O. Po inkubacijos plazmidėmis buvo transformuotos DH5α E. coli ląstelės. Transformacija buvo atlikta naudojant cheminę DH5α E. coli ląstelių transformaciją.

[0231] 5 pavyzdys. Fermento aktyvumo nustatymas in vivo E. coli ląstelėse

[0232] Hidrolazių, atitinkančių SEQ ID Nr.: 16, SEQ ID Nr.: 17, SEQ ID Nr.: 18, SEQ ID Nr.: 19 ir SEQ ID Nr: 20 a.r. sekas, aktyvumas buvo atrinktas in vivo naudojant uridino auksotrofo E. coli HMS174 ∆pyrF∆cdd padermės ląsteles. E.coli HMS174 ∆pyrF∆cdd kompetetinės ląstelės buvo transformuotos pLATE31 plazmidėmis, turinčiomis atitinkamą geną, o klonai buvo kultivuojami selektyvios M9 terpės agaro lėkštelėje, su pridėtu 20 μg/ml N4-benzoil-2'-deoksicitidinu kaip vieninteliu uridino šaltiniu ir 100 μg/ml ampicilino. Aktyvi citidino deaminazė paverčia N4-benzoil-2'-deoksicitidiną 2'-deoksiuridinu, dėl kurio atkuriamas uridino auksotrofinių ląstelių augimo fenotipas, ko pasekoje po 1-2 dienų stebimas kolonijų augimas.

[0233] 6 pavyzdys. Hidrolazių biosintezė E. coli ląstelėse ir jų gryninimas

[0234] Rekombinantinių baltymų biosintezė buvo vykdyta E. coli kamiene HMS174 (DE3) ∆pyrF∆cdd. E. coli ląstelės buvo auginamos 20 ml BHI (Brain-Heart-Infusion Broth) terpėje, turinčioje ampicilino (100 μg/ml), 37 °C temperatūroje aeruojant. Baltymų genų raiška buvo indukuota pridedant 0,5 µM IPTG, esant 0,6–1 OD600, ląstelės buvo auginamos 18–20 valandų 30 °C temperatūroje. Po to biomasė buvo surinkta centrifuguojant 3400xg greičiu, suspenduota 10 ml buferio A (50 mM kalio fosfato, pH 7,5) bei ardyta ultragarsu 2,5 min. Ląstelių nuolaužos buvo atskirtos centrifuguojant 15000xg 4 minutes. Gryninimas atliktas 1 ml Ni-NTA kolonėlėje (nulygsvarinta buferiu A). Nesisorbavusi baltymų frakcija pašalinta buferiu A, o tikslinis baltymas desorbuotas buferiu A su 300 mM imidazolo. Gryninimo procedūros buvo atliekamos kambario temperatūroje. Aktyvios frakcijos buvo sujungtos ir dializuotos prieš buferį A (50 mM kalio fosfatas, pH 7,5) 4 °C temperatūroje, po dializės į baltymo tirpalą pridėta 50% glicerolio. Baltymų koncentracija buvo nustatyta naudojant Pierce™ Coomassie Plus (Bradford) reagentą, procedūra atlikta pagal standartinį mikroplokštelės protokolą. Siekiant patikrinti homogeniškumą, baltymai buvo tiriami elektroforezės būdu, denatūruojančiomis sąlygomis (SDS-PAGE, naudotas 14% skiriamasis ir 4,0% koncentruojantis geliai). Baltymai gelyje buvo dažyti Coomassie Brilliant Blue G-250 dažu. Kiekviename mėginyje iš viso buvo 2-3 µg Išgrynintų baltymų.

[0235] 7 pavyzdys. Hidrolazių substratų spektro analizė

[0236] Fermentų hidrolizinis aktyvumas buvo analizuojamas plonasluoksnės chromatografijos (TLC), didelio efektyvumo skysčių chromatografijos ir masių spektrometrijos (HPLC-MS) bei dujų chromatografijos ir masių spektrometrijos (GC-MS) metodais. Nukleozidai, kaip substratai ir hidrolizės reakcijos produktai, buvo tiriami plonasluoksnės chromatografijos (TLC) metodu ir didelio efektyvumo skysčių chromatografijos – masės spektroskopijos (HPLC-MS) metodu, kaip aprašyta 2 pavyzdyje. Kiti reakcijos produktai buvo aptikti dujų chromatografijos-masių spektrometrijos (GC-MS) sistema. Analizės rezultatai pateikti 1, 2, 3, 4 lentelėse. Reakcijų sąlygos pateiktos žemiau.

[0237] Hidrolizinis aktyvumas buvo tirtas reakcijos mišinyje, kuriame yra 45 mM kalio fosfato buferio, pH 7,5, 1 µl fermento (0,1–4,6 µg viename reakcijos mišinyje) ir 4 mM substrato. Bendras reakcijos mišinio tūris buvo 20 µl. Reakcijos mišinys buvo inkubuojamas 30 °C temperatūroje iki 3 valandų ir 18-22 val. kambario temperatūroje. Plonasluoksnė chromatografija (TLC) buvo atlikta Merck silikagelio 60 F254 plokštelėse, naudojant chloroformo ir metanolio (5:1) tirpiklių mišinį.

[0238] GC-MS analizė buvo atlikta naudojant "Shimadzu GCMS-QP2010 Ultra Plus" (Kiotas, Japonija). Chromatografinis atskyrimas buvo atliktas naudojant Rxi®-5ms kolonėlę (30 m × 0,25 mm I,D, 0,25 μm plėvelės storis, Restek, JAV), naudojant helį kaip nešančias dujas 40 cm/sek, pastovaus tiesinio greičio režimu. Temperatūros programa: 50°C (1 min.), 50 °C →250 °C (25 °C/min.), bendra veikimo trukmė – 15 min. Injektoriaus, sąsajos ir jonų šaltinio temperatūra buvo 250 °C. Aptikimas buvo vykdomas pasirinktu jonų stebėjimo (SIM) režimu (EI režimu), duomenys buvo renkami ir analizuojami naudojant GC-MS 2.71 versiją (Kiotas, Japonija). GC-MS analizei reakcijos mišinį sudarė 45 mM kalio fosfato buferis (pH 7,5), 2,4 mM substrato (iš 50-100 mM pradinio tirpalo DMSO) ir baltymų (~0,5-1 mg/ml). Bendras reakcijos mišinio tūris buvo 1000 µl. Po reakcijos fermentai pašalinti naudojant centrifuginius mėgintuvėlius su 10 kDa membrana. Hidrolizės reakcijos produktai ekstrahuoti etilo acetatu (3x 400 μl).

[0239] GC-MS analizės rezultatai: Reakcijos produktas, ekstrahuotas iš reakcijos mišinio po N4-benzoil-2'-deoksicitidino inkubacijos su hidrolaze (SEQ ID Nr.:1), nustatytas kaip benzamidas MS(EI): m/z 51, 77, 105,

[0240] 121. Reakcijos produktas, ekstrahuotas iš reakcijos mišinio po kapecitabino inkubacijos su hidrolaze (SEQ ID Nr.:1), nustatytas kaip pentilkarbamatas MS(EI): m/z 45, 55, 62, 70. Reakcijos produktas, ekstrahuotas iš reakcijos mišinio po inkubacijos 5-fluor-S4-benziltiouridino su hidrolaze (SEQ ID Nr.:1), identifikuotas kaip benzilmerkaptanas, MS(EI): m/z 91, 124 ir kaip tolimesnis savaiminės reakcijos produktas – benzildisulfidas MS(EI): m/z 91. Reakcijos produktas, ekstrahuotas iš reakcijos mišinio po 5-fluor-O4-benziloksiuridino inkubacijos su hidrolaze (SEQ ID Nr.:1), identifikuotas kaip benzilo alkoholis MS(EI): m/z 79, 108.

[0241]

[0242]

[0243]

[0244]

[0245]

[0246] 8 pavyzdys. Hidrolazių aktyvumo spektrofotometrinis tyrimas

[0247] Spektrofotometriniam tyrimui reakcija buvo pradėta pridedant atitinkamą kiekį baltymo į kalio fosfato buferį, pH 7,5, su 0,3, 0,15, 0,1, 0,075, 0,05, 0,0375, 0,025, 0,0125, 0,025, 0,0125 mM N4-benzoil-2'-deoksicitidino arba 1, 0,8, 0,5, 0,4, 0,25, 0,2, 0,1, 0,05 mM 2'-deoksicitidino. Absorbcijos sumažėjimas buvo fiksuojamas esant 310nm bangos ilgiui analizuojant N4-benzoil-2'-deoksicitidino hidrolizę arba esant 290 nm bangos ilgiui reakcijoje su 2'-deoksicitidinu. Reakcijos atliktos 22 °C temperatūroje. Kinetiniai parametrai (5 lentelė) buvo apskaičiuoti naudojant lmfit-py 1.0.2 programinę įrangą, taikant Michaelis-Menten kinetikos modelį.

[0248]

[0249] 9 pavyzdys. Aktyvumo aptikimas in vitro eukariotinėse ląstelėse

[0250] Ląstelių linijos. Visos procedūros buvo atliekamos aseptinėmis sąlygomis, atitinkančiomis biologinės saugos reikalavimus. 293FT ląstelių linija (Gibco, Cat Nr. R700-07) yra gauta iš 293F ląstelių linijos ir stabiliai vykdo SV40 didžiojo T antigeno iš pCMVSPORT6TAg.neo plazmidės raišką. HCT116 ląstelės yra žmogaus storosios žarnos vėžio ląstelės, gautos iš storosios žarnos vėžiu sergančio suaugusio vyro. 293FT ląstelės buvo palaikomos DMEM (Gibco) terpėje, turinčioje 10% galvijų vaisiaus serumo (FBS, Gibco), 0,1 mM MEM neesminių aminorūgščių (NEAA, Gibco), 6 mM L-glutamino (Gibco), 1 mM MEM natrio piruvato (Gibco), 100 U/ml penicilino ir 0,1 mg/ml streptomicino (Gibco), 0,5 mg/ml geneticino. HCT116 ląstelės buvo palaikomos DMEM terpėje, turinčioje 10% FBS, 100 U/ml penicilino ir 0,1 mg/ml streptomicino. Ląstelės buvo auginamos 37 °C temperatūroje su 5% CO2 vandens prisotintame inkubatoriuje. Nuo kultivavimo indo pagrindo ląstelės atkeliamos inkubuojant su tripsinu/EDTA (Corning) 37 °C temperatūroje.

[0251] Plazmidės. DNR fragmentas, koduojantis His-žymėtą citidino deaminazę SEQ ID Nr: 4 su unikaliomis restrikcijos vietomis BamHI ir Eco105I, buvo įterptas į vektorių pBABE-Puro (Cell Biolabs, Inc.) per BamHI ir Eco105I restrikcijos vietas. Konstrukto seka patikrinta atliekant sekoskaitą "Macrogen Europe" (Nyderlandai).

[0252] Stabilios ląstelių linijos kūrimas naudojant retrovirusus. Retrovirusinis pBABE-Puro vektorius, koduojantis tiriamąjį konstruktą (1066,6 ng), kartu su pCMV-gag-pol (355,6 ng) ir pCMV-VSV-G (177,8 ng) (Cell Biolabs, Inc.) vektoriais transfekcijos metodu buvo įterpti į 4 cm2 dydžio lėkštelėje augančias ir ~70% paviršiaus padengimą pasiekusias 293FT ląsteles. 100 µl Opti-MEM terpės (Gibco) buvo sumaišyta su 4 µl Lipofectamine 2000 reagento (Invitrogen) ir inkubuota 5 minutes kambario temperatūroje. Tuomet plazmidės, praskiestos 100 µl Opti-MEM terpėje, buvo sumaišytos su paruoštu Lipofectamine 2000. Po 20 min inkubacijos kambario temperatūroje transfekcijos mišinys buvo išlašintas ant 293FT ląstelių. 16 valandų po transfekcijos ląstelėms buvo pakeista terpė. Dar po 24 valandų retrovirusų terpė buvo surinkta ir praleista per 0,45 μm sterilius švirkšto filtrus. Tikslinės HCT116 ląstelės (pasiekusios ∼60% paviršiaus padengimą) buvo transdukuotos optimizuotu kiekiu retrovirusinės terpės, praskiestos šviežia terpe (paprastai santykiu 1:1–1:10), turinčia 8 μg/ml polibreno (Sigma-Aldrich), 24 valandas. Tada retrovirusinė terpė buvo pakeista šviežia terpe, o dar po 24 valandų terpė vėl buvo pakeista šviežia terpe, turinčia 2 μg/ml puromicino (Sigma-Aldrich), kad būtų galima atrinkti ląsteles, kuriose integravosi konstruktas. Transdukuotos ląstelės buvo naudojamos tolimesniems eksperimentams tik po visiškos netransdukuotų ląstelių, kurios neatlaikė atrankos sąlygų, mirties.

[0253] Provaistų tirpalų ruošimas. Provaistų tirpalai kiekvienam eksperimentui buvo ruošiami prieš pat naudojimą, medžiagos ištirpintos DMSO, praskiestos ląstelių kultivavimo terpėje ir pridėtos HCT116 ląstelėms iki galutinės 1-100 µM koncentracijos. DMSO koncentracija tyrime niekada neviršijo 0,02% ir neturėjo įtakos ląstelių augimui.

[0254] MTT tyrimas. HCT116 ląstelės buvo kultivuojamos 96 šulinėlių plokštelėse užsėjant po 4000 ląstelių į šulinėlį. Užsėtos ląstelės buvo inkubuojamos 24 valandas leidžiant joms prisitvirtinti prie auginimo indo, tuomet veikiamos skirtingomis provaistų koncentracijomis 24–48 valandas. Po to auginimo terpė buvo atsargiai pašalinta ir į kiekvieną šulinėlį įpilta po 100 µl MTT tirpalo (0,5 µg/ml MTT reagento (Merck) PBS). Metaboliškai aktyvios ląstelės verčia MTT iki mėlynų formazano kristalų. Po 1 valandos inkubacijos 37 °C temperatūroje MTT-formazano kristalai buvo ištirpinti 120 µl DMSO, iš kurių po 100 µl buvo perkelta į naują 96 šulinėlių plokštelę, tinkamą optiniams matavimams. Spalvoto formazano produkto absorbcija buvo išmatuota esant 540 ir 650 nm bangos ilgiui Varioskan Flash spektrofotometru (Thermo Fisher Scientific). Nepaveiktos ląstelės ir tos, kurios buvo paveiktos 5-FUR, atitinkamai pasitarnavo kaip neigiama ir teigiama kontrolinės grupės. Prieš atliekant statistinę analizę, gauti duomenys buvo apdorojami trimis etapais: pirma, iš kiekvieno atskiro 540 nm matavimo buvo atimti 650 nm matavimai (fonas); vidutinė matavimo vertė, gauta iš mėginių, paveiktų DMSO, buvo atimta iš kontrolinės grupės ir kiekvienos tiriamųjų ląstelių mėginių grupės, paveiktos provaistu arba 5-FUR; ląstelių gyvybingumas buvo įvertintas lyginant tiriamuosius mėginius su neigiama kontrole ir išreikštas procentais, darant prielaidą, kad neapdorotų ląstelių gyvybingumas buvo 100%. Kiekviena grupė buvo tirta atliekant aštuonis pakartojimus (1-3 pav.).

[0255] Statistinė analizė. Visi sugrupuoti MTT analizės duomenys buvo pateikti kaip vidurkis su 95% pasikliautinuoju intervalu. Grupės buvo palygintos taikant vienpusį Welcho t testą nepriklausomoms imtims. Shapiro-Wilk testas buvo atliktas siekiant įvertinti nuokrypį nuo normalumo. Visų naudotų kriterijų reikšmingumo lygmuo buvo pasirinktas α = 0,05. Duomenys buvo nubraižyti ir statistinė analizė atlikta naudojant Rstudio 1.3.1073 versiją.

[0256] 10 pavyzdys. Lipazių/esterazių atranka naudojant uridino auksotrofines E. coli ląsteles, turinčias hidrolazės geną.

[0257] E.coli HMS174∆pyrF∆cdd kompetentinės ląstelės buvo transformuotos pLATE31 plazmidėmis su vienu hidrolazės genu iš sekų rinkinio SEQ ID Nr.: 1 – 9. Klonai buvo papildomai transformuoti suderinamomis plazmidėmis (su p15 tipo ORI seka), su metagenominių bibliotekų fragmentais, ir kultivuoti selektyvioje agarizuotoje M9 terpėje, kurioje yra 20 μg/ml kanamicino, 100 μg/ml ampicilino ir 20 μg/ml vienintelio uridino šaltinio – N4-2-hidroksietil-2'-deoksicitidino, kurio 2-hidroksietilo grupė buvo papildomai acilinta vidutinio ilgio riebalų rūgštimis. Lipazė/esterazė paverčia acilintą N4-2-hidroksietil-2'-deoksicitidiną į N4-2-hidroksietil-2'-deoksicitidiną, kuris toliau, katalizuojant hidrolazei iš SEQ ID Nr.: 1-9 rinkinio, paverčiamas 2'-deoksiuridinu. Tokiu būdu yra atstatomas uridino auksotrofinių ląstelių augimo fenotipas.To pasekoje, jei klone yra aktyviąją lipazę/esterazę koduojantis genas, po 1–2 auginimo dienų stebimas kolonijų augimas.

[0258]

[0259]

[0260]

[0261]

[0262] LITERATŪRA

[0263] 1. Clark, J.L., Hollecker, L., Mason, J.C., Stuyver, L.J., Tharnish, P.M., Lostia, S., McBrayer, T.R., Schinazi, R.F., Watanabe, K.A., Otto, M.J., et al. (2005). Design, synthesis, and antiviral activity of 2'-deoxy-2'-fluoro-2'-C-methylcytidine, a potent inhibitor of hepatitis C virus replication. J. Med. Chem. 48, 5504–5508.

[0264] 2. Cohen, R.M., and Wolfenden, R. (1971). Cytidine Deaminase from Escherichia coli. Purification, properties and inhibition by the potential transition state analog 3,4,5,6-tetrahydrouridine. J. Biol. Chem. 246, 7561–7565.

[0265] 3. Gao, Y.; Zhang, P.; Wu, L.; Matsuura, T.; Meng, J. Synthesis of uridine derivatives containing amino acid residues. Synth. Commun. 2003, 33 (15), 2635-2641.

[0266] 4. Goble, A.M., Fan, H., Sali, A., and Raushel, F.M. (2011). Discovery of a cytokinin deaminase. ACS Chem. Biol. 6, 1036–1040.

[0267] 5. Gong, Y.; Chen, L.; Zhang, W.; Salter, R. Transglycosylation in the modification and isotope labeling of pyrimidine nucleosides. Org. Lett. 2020, 22, 14, 5577–5581.

[0268] 6. Jakubovska, J., Tauraitė, D., Birštonas, L. & Meškys, R. Nucleic Acids Res. 46, 5911–5923 (2018)

[0269] 7. Jansen RS, Rosing H, Schellens JH, Beijnen JH. Deoxyuridine analog nucleotides in deoxycytidine analog treatment: secondary active metabolites? Fundam Clin Pharmacol. 2011 Apr;25(2):172-85. doi: 10.1111/j.1472-8206.2010.00823.x. PMID: 20199587.

[0270] 8. Kaleta, Z.; Makowski, B. T.; Soós, T.; Dembinski, R. Thionation using fluorous Lawesson's reagent. Org. Lett. 2006, 8 (8), 1625–1628.

[0271] 9. Kraszewski A., Delort A.M., Treoule R. (1986) cSynthesis of N4-mono- and dialkyl-2'-deoxycytidines and their insertion into an oligonucleotide. Tetrahedron Lett, 27, 861-864

[0272] 10. Liu, J., Liu, J., Zhao, D., Ma, N., and Luan, Y. (2016). Highly enhanced leukemia therapy and oral bioavailability from a novel amphiphilic prodrug of cytarabine. RSC Adv. 6, 35991–35999.

[0273] 11. Malekshah, O.M., Chen, X., Nomani, A. et al. Enzyme/Prodrug Systems for Cancer Gene Therapy. Curr Pharmacol Rep 2, 299–308 (2016). https://doi.org/10.1007/s40495-016-0073-y.

[0274] 12. Milecki, J.; Nowak, J.; Skalski, B.; Franzen, S. 5-Fluoro-4-thiouridine phosphoramidite: New synthon for introducing photoaffinity label into oligodeoxynucleotides. Bioorg. Med. Chem. 2011, 19, 6098-6106.

[0275] 13. Murakami, Y., Kimura, Y., Kawahara, A., Mitsuyasu, S., Miyake, H., Tohyama, K., Endo, Y., Yoshida, N., Imamura, Y., Watari, K., et al. (2019). The augmented expression of the cytidine deaminase gene by 5-azacytidine predicts therapeutic efficacy in myelodysplastic syndromes. Oncotarget 10, 2270–2281.

[0276] 14. Nowak, I., and Robins, M.J. (2005). Hydrothermal deamidation of 4-N-Acylcytosine nucleoside derivatives:  efficient synthesis of uracil nucleoside esters. Org. Lett. 7, 4903–4905.

[0277] 15. Shelton, J., Lu, X., Hollenbaugh, J.A., Cho, J.H., Amblard, F., and Schinazi, R.F. (2016). Metabolism, biochemical actions, and chemical synthesis of anticancer nucleosides, nucleotides, and base analogs. Chem. Rev. 116, 14379–14455.

[0278] 16. Thompson, J.D., Higgins, D.G., Gibson, T.J. CLUSTAL W: improving the sensitivity of progressive multiple sequence alignment through sequence weighting, position-specific gap penalties and weight matrix choice. Nucleic Acids Res. 1994 Nov 11;22(22):4673-80. doi: 10.1093/nar/22.22.4673.

[0279] 17. Urbelienė, N. et al. A rapid method for the selection of amidohydrolases from metagenomic libraries by applying synthetic nucleosides and a uridine auxotrophic host. Catalysts 10, 445 (2020).

[0280] 18. Urbelienė, N.; Kutanovas, S.; Meškienė, R.; Gasparavičiūtė, R.; Tauraitė, D.; Koplūnaitė, M.; Meškys, R. Application of the uridine auxotrophic host and synthetic nucleosides for a rapid selection of hydrolases from metagenomic libraries. Microb. Biotechnol. 2019, 12, 148–160.

[0281] 19. Walko, C.M., and Lindley, C. (2005). Capecitabine: A review. Clin. Ther. 27, 23–44.

[0282] 20. Wenska, G.; Taras-Goslinska, K.; Lamparska-Kupsik, K.; Skalski, B.; Gdaniec, M.; Gdaniec, Z. Photochemical transformations of 5-halogeno-4-thiouridines. J. Chem. Soc., Perkin Trans. 1, 2002, 53–57.

[0283] 21. US010035983;

[0284] 22. WO2009143048;

[0285] 23. US8349318;

[0286] 24. US20080206221;

[0287] 25. LT6626;

[0288] 26. WO2000047725;

[0289] 27. WO2005049845;

[0290] 28. WO2006103452;

[0291] 29. WO2015075475;

[0292] 30. WO9512678;

[0293] 31. WO9945126.

Apibrėžtis

1. Izoliuota hidrolazė, koduojanti DNR, kurios amino rūgščių seka yra iš grupės SEQ ID Nr. 1-41, pirimidino darinį hidrolizuoja į uridino darinį, b e s i s k i r i a n t i citidino darinių deamininimu/deamidinimu in vitro, nenaudojant organinių tirpiklių, padidinto slėgio ir aukštos temperatūros (>100 °C).

2. Hidrolazių naudojimo metodas pagal 1 punktą, kur metodas apima šiuos etapus:

a) nukleorūgštis atrenkama iš grupės susidedančios iš SEQ ID Nr. 1-4;

b) konstruojamas DNR vektorius, turintis pasirinktą nukleorūgštį,

c) ląstelė šeimininkė DNR vektoriumi transformuojama iš (b) pakopos;

d) pirimidino darinys hidrolizuojamas į uridino darinį.

3. Metodas pagal 2 punktą, kur uridino dariniai, gauti iš citidino darinių, turinčių tokią bendrąją formulę (1):


kur R yra C1-C10 alkilas, C1-C10 pakeistas alkilas, -(CH2)n-Ph arba pakeistas -(CH2)n-Ph; kur minėtame -(CH2)n-Ph n = 0, 1, 2, 3-10. Ph yra fenilas; minėto pakeisto alkilo anglies grandinė yra nepriklausomai pakeista viena, dviem arba trimis hidroksilo arba karboksilo grupėmis; minėtame pakeistame -(CH2)n-Ph n = 0, 1, 2, 3-10, ir anglies grandinė arba fenilo žiedas yra nepriklausomai pakeisti viena arba dviem hidroksilo arba karboksilo grupėmis;

kur X yra S arba O;

kur R1 yra C1-C10 alkilas, C1-C10 pakeistas alkilas arba F;

kur R2 yra –OH, –PO42-, C1-C10 alkilas. C1-C10 pakeistas alkilas;

kur R3: H, OH;

kur R4: H,OH, C1-C10 alkilas, C1-C10 pakeistas alkilas arba F;

pakaitai R2, R3 ir R4 gali būti identiški arba skirtingi.

4. Metodas pagal 2 punktą, kur uridino dariniai, gauti iš pirimidino darinių, turinčių tokią bendrąją formulę (4):


kur Y yra N(H), S arba O; kur R yra C1-C10 alkilas, C1-C10 pakeistas alkilas, -(CH2)n-Ph arba pakeistas -(CH2)n-Ph; kur minėtame -(CH2)n-Ph n = 0, 1, 2, 3-10, Ph yra fenilas; minėto pakeisto alkilo anglies grandinė yra nepriklausomai pakeista viena arba dviem arba trimis hidroksilo arba karboksilo grupėmis; minėtame pakeistame -(CH2)n-Ph n = 0, 1, 2, 3-10, ir anglies grandinė arba fenilo žiedas yra nepriklausomai pakeisti viena arba dviem hidroksilo arba karboksilo grupėmis;

kur X yra S, O;

kur R1 yra C1-C10 alkilas, C1-C10 pakeistas alkilas arba F;

kur R2 yra –OH, –PO4-, C1-C10 alkilas, C1-C10 pakeistas alkilas;

kur R3: H, OH;

kur R4: H, OH, C1-C10 alkilas, C1-C10 pakeistas alkilas arba F;

pakaitai R2, R3 ir R4 gali būti identiški arba skirtingi.

5. Metodas pagal 2 punktą, kai pseudoizouridino dariniai, gauti iš pseudoizocitidino darinių, turinčių tokią bendrąją formulę (6):


kur R yra C1-C10 alkilas, C1-C10 pakeistas alkilas, -(CH2)n-Ph arba pakeistas -(CH2)n-Ph; kur minėtame -(CH2)n-Ph n = 0, 1, 2, 3-10, Ph yra fenilas; minėto pakeisto alkilo anglies grandinė yra nepriklausomai pakeista viena arba dviem, arba trimis hidroksilo arba karboksilo grupėmis; minėtame pakeistame -(CH2)n-Ph n = 0, 1, 2, 3-10, ir anglies grandinė arba fenilo žiedas yra nepriklausomai pakeisti viena arba dviem hidroksilo grupėmis arba karboksilo grupėmis;

kur X yra S, O;

kur R1 yra –OH, –PO4-, C1-C10 alkilas, C1-C10 pakeistas alkilas;

kur R2: H, OH;

kur R3: H, OH, C1-C10 alkilas, C1-C10 pakeistas alkilas arba F;

pakaitai R1, R2 ir R3 gali būti identiški arba skirtingi.

6. Metodas pagal 2 punktą, kai pseudoizouridino dariniai, gauti iš pseudoizocitidino darinių, turinčių tokią bendrąją formulę (8):


kur R yra C1-C10 alkilas, C1-C10 pakeistas alkilas, -(CH2)n-Ph arba pakeistas -(CH2)n-Ph; kur minėtame -(CH2)n-Ph n = 0, 1, 2, 3-10, Ph yra fenilas; minėto pakeisto alkilo anglies grandinė yra nepriklausomai pakeista viena arba dviem arba trimis hidroksilo arba karboksilo grupėmis; minėtame pakeistame -(CH2)n-Ph n = 0, 1, 2, 3-10, ir anglies grandinė arba fenilo žiedas yra nepriklausomai pakeisti viena arba dviem hidroksilo arba karboksilo grupėmis;

kur Y yra N, S arba O;

kur X yra O, S;

kur R1 yra –OH, –PO4-, C1-C10 alkilas, C1-C10 pakeistas alkilas;

kur R2: H, OH; kur R3: H, OH, C1-C10 alkilas, C1-C10 pakeistas alkilas arba F;

pakaitai R1, R2 ir R3 gali būti identiški arba skirtingi.

7. Metodas pagal 2 punktą, kai uridino dariniai, gauti iš citidino darinių, turinčių tokią bendrąją formulę (9):


kur R yra C1-C10 alkilas, C1-C10 pakeistas alkilas, -(CH2)n-Ph arba pakeistas -(CH2)n-Ph; kur minėtame -(CH2)n-Ph n = 0, 1, 2, 3-10, Ph yra fenilas; minėto pakeisto alkilo anglies grandinė yra nepriklausomai pakeista viena arba dviem arba trimis hidroksilo arba karboksilo grupėmis; minėtame pakeistame -(CH2)n-Ph n = 0, 1, 2, 3-10, ir anglies grandinė arba fenilo žiedas yra nepriklausomai pakeisti viena arba dviem hidroksilo arba karboksilo grupėmis;

kur X yra O, S;

kur R1 yra C1-C10 alkilas, C1-C10 pakeistas alkilas arba F;

kur R2 yra –OH, –PO4-, C1-C10 alkilas, C1-C10 pakeistas alkilas;

kur R3: H, OH;

kur R4: H, OH, C1-C10 alkilas, C1-C10 pakeistas alkilas arba F;

pakaitai R2, R3 ir R4 gali būti identiški arba skirtingi.

8. Metodas pagal 2–7 punktus, kur citidino dariniai hidrolizuojami in vitro.

9. Metodas pagal 2–7 punktus, kur citidino dariniai hidrolizuojami prokariotinėse ląstelėse in vivo.

10. Metodas pagal 2–7 punktus, kur citidino dariniai hidrolizuojami eukariotinėse ląstelėse in vitro.

11. Metodas pagal 2–10 punktus, besiskiriantis tuo, kad hidrolazės yra naudojamos genomo redagavimui su CRISPR-Cas9 sistema.

12. Kompozicija, apimanti hidrolazių pagal 1 punktą ir citidino darinių pagal 2–7 punktus mišinį, skirtą patologinės ląstelės proliferacijos slopinimui, kur hidrolazės yra ekspresuojamos ląstelėje, esant ląstelėse veiksmingai citidino darinių koncentracijai 1-100 μM ribose.

13. Fermentų atrankos metodas, panaudojant hidrolazes pagal 1 punktą, kurį sudaro šie etapai:

a) atrenkamos nukleorūgštys;

b) kuriama DNR vektorių biblioteka, turinti pasirinktas nukleorūgštis,

c) ląstelės-šeimininkės, turinčios hidrolazę iš grupės, susidedančios iš SEQ ID Nr. 1–41, transformuojamos - su DNR vektoriais, turinčiais pasirinktas nukleorūgštis;

d) iš genetinių bibliotekų atrenkami fermentai, naudojant uridino, citidino, citozino ir uracilo neturinčią mitybinę terpę, kurioje yra pirimidino junginio, kurį fermentas paverčia hidrolazės substratu iš SEQ ID Nr. 1–41 sekų grupės.

Brėžiniai