LT7058B

TIKSLINIO PRODUKTO SINTEZĖS MAKSIMIZAVIMO BŪDAS PUSIAU PERIODINIUOSE REKOMBINANTINIŲ E. COLI KULTIVAVIMO PROCESUOSE

METHOD OF TARGET-PRODUCT SYNTHESIS MAXIMIZATION IN SEMI-BATCH CULTIVATION PROCESSES OF RECOMBINANT E.COLI

Referatas

[LT] Tikslinio produkto sintezės maksimizavimo būdas pusiau-periodiniuose rekombinantinių E.coli kultivavimo procesuose. Išradimas atskleidžia būdą maksimizuoti tikslinio produkto sintezę ir koncentraciją pusiau-periodiniuose rekombinantinių E.coli kultivavimo procesuose, poindukciniu periodu valdant procesą pagal optimizuotą specifinio bakterijų augimo greičio profilį. Šis būdas paremtas E.coli bakterijų kultivavimo eksperimentiniais tyrimais, kuriuose nustatyta, kad sintezuojamo tikslinio produkto maksimalią koncentraciją kultivavimo pabaigoje nulemia E.coli biomasės koncentracija, populiacijos vidutinis amžius proceso indukcijos metu ir optimalus bakterijų specifinio augimo greičio valdymas po indukcijos momento. Biomasės koncentracija ir populiacijos vidutinis amžius yra gaunami iš netiesioginių matavimo metodų realiu laiku. Indukcijos metu pagal empirinę išraišką nustatoma galima maksimali tikslinio produkto koncentracija proceso pabaigoje. Tada sudaromas tikslinio produkto kaupimosi profilis, kurio formavime pagrindinis veiksnys yra bakterijų populiacijos vidutinis amžius, priklausantis nuo bakterijų specifinio augimo greičio. Remiantis realaus laiko optimizavimo procedūromis, poindukciniam kultivavimo laikotarpiui nustatomas optimalus specifinio augimo greičio profilis, kuris maksimizuoja tikslinio produkto koncentraciją kultivavimo proceso pabaigoje.

[EN] Method of target-product synthesis maximization in semi-batch cultivation processes of recombinant E.coliThe invention discloses a method to maximize the synthesis and concentration of a target-product in semi-periodic cultivation processes of recombinant E.coli by controlling the process in the post-induction period according to an optimized specific bacterial growth-rate profile. This method is based on experimental studies of the cultivation of E.coli bacteria, which found that the maximum concentration of the synthesized target product at the end of cultivation is determined by the concentration of E.coli biomass, the average age of the population at the time of process induction, and the optimal control of the bacterial specific growth rate after the induction moment. Biomass concentration and population mean age are derived from indirect measurement methods in real time. During induction, an empirical expression determines the maximum possible concentration of the target-product at the end of the process. An accumulation profile 5 of the targetproduct is then created, in the formation of which the average age of the bacterial population, which depends on the bacterial specific growth-rate, is a key factor. Based on real-time optimization procedures, an optimal specific growth-rate profile is determined for the post-induction cultivation period that maximizes theconcentration of the target-product at the end of the cultivation process.

Aprašymas

[0001] IŠRADIMO SRITIS

[0002] Išradimas yra susijęs su bioreaktorių automatinio valdymo technologijomis, konkrečiau, su automatinio valdymo būdu, kuris įgalina rekombinantinių E.coli pusiau-periodiniuose kultivavimo procesuose maksimizuoti tikslinio produkto sintezės išeigą. Minėtas produkto išeigos maksimizavimas įgyvendinamas, realiu laiku formuojant optimizuotus E.coli bakterijų specifinio augimo profilius ir naudojant juos planuojant E.coli kultivavimo procesą poindukciniame laikotarpyje.

[0003] TECHNIKOS LYGIS

[0004] E.coli bakterijos yra gerai ištirtos, pasižymi dideliu augimo greičiu, jų rekombinantinės versijos gali sintezuoti įvairius tikslinius baltymus (tai yra, kultivavimo tikslinius produktus). Todėl E.coli bakterijų kultūros dažnai kultivuojamos, su tikslu gaminti rekombinantinius baltymus pramoniniuose bioreaktoriuose. Šiuo metu, pagrindinė rekombinantinių baltymų, taikomų biomedicininiams tikslams, dalis išgaunama rekombinantinių E.coli bakterijų kultivavimo procesuose, kurie vykdomi šiuolaikiniuose aukšto automatizavimo lygio bioreaktoriuose. Tikslinių produktų E.coli kultivavimo procesai vykdomi dviem etapais:

[0005] a) pirmame etape (priešindukcinis laikotarpis) palaikomas aukštas E.coli bakterijų augimo greitis ir pasiekiama aukšta E.coli biomasės koncentracija bioreaktoriuje;

[0006] b) antrame etape (poindukcinis laikotarpis), specialaus cheminio induktoriaus pagalba inicijuojama tikslinio produkto sintezė, kuri, reguliuojant į bioreaktorių paduodamo maitinančio substrato srautą ir tuo pačiu E.coli bakterijų augimo greitį, palaikoma iki kultivavimo proceso pabaigos.

[0007] Šiuose rekombinantinių E.coli kultivavimo procesuose maitinamoji terpė (maitinimo substratas) bakterijoms tiekiama palaipsniui viso kultivavimo proceso vykdymo laikotarpiu. Toks palaipsninis tiekimas leidžia kontroliuoti substrato koncentraciją mitybinėje terpėje bioreaktoriuje, taip išvengiant pernelyg aukštų substrato koncentracijų bei šalutinių metabolinių produktų perteklinio susidarymo, kurie slopintų bakterijų augimą ir tikslinio produkto sintezę. Rekombinantinių bakterijų kultivavimo procesuose, tikslinio produkto sintezė ženkliai priklauso ir nuo bakterijų populiacijos vidutinio amžiaus. Jaunesnės E.coli bakterijų kultūros, esančios logaritminėje augimo fazėje, įprastai sintezuoja daugiau tikslinio produkto, negu senesnės, esančios stacionarioje augimo fazėje. Tačiau, ryšys tarp bakterijų amžiaus ir tikslinio produkto sintezės efektyvumo (sintezės greičio) priklauso dar ir nuo bakterijų tipo bei jų kultivavimo sąlygų. Todėl šis ryšys konkrečiame kultivavimo procese būtų racionaliai identifikuojamas pagal realaus kultivavimo eksperimento duomenis. Identifikavus tarpusavio priklausomybę tarp bakterijų populiacijos vidutinio amžiaus ir tikslinio produkto sintezės greičio, atsiranda galimybė šią priklausomybę panaudoti efektyviau valdyti maitinančio substrato srautą ir maksimizuoti tikslinio produkto išeigą (produkto koncentraciją) poindukciniame kultivavimo laikotarpyje. Ši tarpusavio priklausomybė ir buvo panaudota šiame išradime, įgalinusi sukurti ir įgyvendinti tikslinio produkto sintezės maksimizavimo būdą.

[0008] Yra žinomi įvairūs metodai ir techniniai sprendimai reguliuoti į bioreaktorių tiekiamo maitinančio substrato srautą, kuriais siekiama efektyviau valdyti E.coli kultivavimo procesus ir pasiekti aukštą jų produktyvumą.

[0009] JAV patente US5595905A, 1997, "Process control system for fed-batch fermentation using a computer to predict nutrient consumption” [1] aprašyta maitinančio substrato padavimo į bioreaktorių reguliavimo sistema, skirta valdyti mikroorganizmų pusiau-periodinius kultivavimo procesus. Ši sistema remiasi laboratoriniais maitinančio substrato koncentracijos matavimų eksperimentais ir skaičiavimo procedūromis, kurios leidžia apskaičiuoti maitinančio substrato srautą sekančio kultivavimo eksperimento etapui. Tačiau, šioje sistemoje, vykdančioje bakterijų maitinimo algoritmą, neatsižvelgiama į bakterijų populiacijos vidutinį amžių. Todėl sistema neefektyvi, jei tikslinio produkto sintezės fazėje reikia maitinimo substratą naudoti greičiu, mažesniu už maksimalų. Taip pat, ši sistema sunkiai realizuojama pramoniniuose bioreaktoriuose ir kultivavimo procesuose, nes reikalauja daug priežiūros sąnaudų, atlikti dažnus eksperimentinius matavimus, kurie turi būti atliekami laboratorijoje.

[0010] Kitame JAV patente US6284453B1, 2001, "Method for controlling fermentation growth and metabolism” [2] yra atskleistas maitinančio substrato srauto tiekimo į bioreaktorių būdas, kada substrato srautas reguliuojamas siekiant palaikyti užduotą E.coli bakterijų augimo greitį, kuris nustatomas iš eilės tiesioginių ir netiesioginių matavimų. Šis būdas reikalauja dar prieš kultivavimo pradžią numatyti bakterijų augimo greitį ir netinka maksimizuoti tikslinį produktą, nes prieš kultivavimo proceso pradžią yra sudėtinga numatyti poindukciniu laikotarpiu reikalingą palaikyti specifinį bakterijų augimo greitį, kuris maksimizuotų tikslinio produkto koncentraciją kultivavimo proceso pabaigoje. Taip pat, įgyvendinant šį būdą, reikalinga vykdyti dažnus esminių bioproceso kintamųjų laboratorinius matavimus, todėl šio būdo taikymas pramoniniuose biotechnologiniuose procesuose yra sąlyginai sudėtingas.

[0011] Patente LT6395B [3] yra atskleistas netiesioginis maitinančio substrato reguliavimo būdas, kuriame į bioreaktorių paduodamo maitinančio substrato srautas keičiamas taip, jog būtų užtikrintas iš anksto nustatytas specifinis mikroorganizmų augimo greitis, kuris nustatomas netiesioginiu būdu matuojant bioreaktoriuje auginamos kultūros deguonies suvartojimo greitį ir kiekį. Tačiau, šio būdo taikymas tikslinio produkto išeigos maksimizavimui nėra efektyvus, nes formuojant bioproceso operatoriaus nustatomą mikroorganizmų specifinį augimo greitį, neatsižvelgiama į bakterijų populiacijos vidutinį amžių, ir tuo pačiu neužtikrinamas tinkamas maitinančio substrato tiekimo režimas tikslinio produkto maksimizavimui poindukcinio kultivavimo proceso laikotarpio metu.

[0012] Šiam išradimui artimiausias analogas yra maitinančio substrato srauto reguliavimo metodas valdyti pusiau-periodinį rekombinantinių E.coli kultivavimo procesą, aprašytas [4] (Gnoth, Stefan; Simutis, Rimvydas; Lübbert, Andreas. Selective expression of the soluble product fraction in Escherichia coli cultures employed in recombinant protein production processes // Applied Microbiology and Biotechnology. New York: Springer. ISSN 0175-7598. 2010, Vol. 87, iss. 6, p. 2047-2058)0. Šiame metode, maitinančio substrato tiekimo poindukciniu laikotarpiu profilis parenkamas taip, kad palaikytų hibridiniu modeliu suformuotą bakterijų specifinio augimo profilį, kuris įgalintų pasiekti aukštą sintezuojamo tikslinio produkto koncentraciją kultivavimo pabaigoje. Šio metodo pagrindinis trūkumas: tam, kad suformuoti poindukcinio laikotarpio maitinimo profilius reikia sukurti hibridinius matematinius modelius (apibrėžiamus fundamentinių modelių ir dirbtinių neuroninių tinklų modelių kombinacija), kurie adekvačiai aprašytų rekombinantinių E.coli bakterijų kultivavimo procesus. Tokių modelių parengimas reikalauja didelių darbo ir laiko sąnaudų, todėl šio metodo pritaikymas pramoniniuose E.coli kultivavimo procesuose yra labai ribotas.

[0013] IŠRADIMO ESMĖ

[0014] Techninė problema. Šiuo išradimu sprendžiama techninė problema - tikslinio produkto sintezės efektyvinimas rekombinantinių E.coli pusiau- periodiniuose kultivavimo procesuose. Tai yra: su mažesnėmis kultivavimo proceso ir bioreaktoriaus valdymo sąnaudomis (įskaitant proceso planavimą, proceso operatoriaus darbo apimtis ir klaidų tikimybę) gauti didesnę sintezuojamo tikslinio produkto išeigą.

[0015] Sprendimas. Šiame išradime atskleidžiamas E.coli kultivavimo proceso valdymo ir tikslinio produkto sintezės išeigos maksimizavimo būdas, išvengiantis aukščiau minėtų valdymo sprendimų trūkumų. Būdas įgyvendinamas, remiantis kultivavimo eksperimentų duomenų pagrindu suformuotais empiriniais matematiniais modeliais ir kompiuterizuota skaitinio optimizavimo procedūra. Ši procedūra leidžia poindukciniame kultivavimo laikotarpyje realiu laiku suformuoti optimizuotą E.coli bakterijų specifinio augimo greičio profilį, kuris toliau naudojamas bioreaktoriaus procesų automatiniame valdiklyje, reguliuoti į bioreaktorių paduodamo maitinančio substrato srautą. Valdymo ir maksimizavimo būdas apima šiuos esminius žingsnius:

[0016] 1) Pirmajame žingsnyje atliekamas E.coli biomasės koncentracijos įvertinimas ir bakterijų populiacijos vidutinio amžiaus skaičiavimas E.coli kultivavimo laikotarpyje iki indukcijos (t<tinduction). Šiame žingsnyje, biotechnologinio proceso operatorius, priklausomai nuo biomasės koncentracijos augimo ir jį palaikančių bioreaktoriaus technologinių procesų keitimo charakteristikų (maišyklės sūkių skaičius, paduodamo oro ir paduodamo deguonies srautai) valdo maitinančio substrato srautą, kuris sąlygoja aukštą rekombinantinių E.coli augimo greitį. Biomasės koncentracijos x(t) vertinimas atliekamas realiu laiku pagal žinomą metodą, matuojantį biomasės koncentraciją netiesiogiai, pagal suvartojamo deguonies greičio rodiklius [5] (Survyla, A., Urniezius, R. & Simutis, R. Viable cell estimation of mammalian cells using off-gas-based oxygen uptake rate and aging-specific functional. Talanta 254, 124121, 2023).

[0017]

[0018] kur x yra biomasės koncentracija [g/L], OUR yra deguonies suvartojimo greitis [g/(h*L)], x0 biomasės koncentracija inokuliavimo memontu, α ir β yra kultūros stechiometrijos koeficientai, kcX yra parametras, kuris apibrėžia pradžią tcX, nuo kurios pradeda išraiškoje (1) dalyvauti biomasės palaikymo narys β ir xcX yra biomasės koncentracijos vertė tuo metu (kcX ≡

[0019]

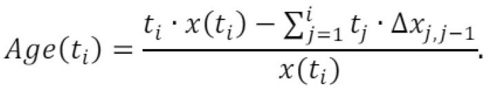
[0020] Įvertinus biomasės koncentraciją pagal (1) lygtį, toliau įvertinamas E.coli bakterijų populiacijos vidutinis amžius Age(t), kuris gali būti apskaičiuojamas pagal šią formulę:

[0021]

[0022] 2) Antrajame žingsnyje, pagal (1) išraišką įvertintą biomasės koncentraciją indukcijos metu x(tinduction) ir iš jos įvertintą bakterijų populiacijos vidutinį amžių Age(tinduction), bei pritaikius ankstesnių E.coli kultivavimo eksperimentų duomenų pagrindu identifikuotą tarpusavio priklausomybę – įvertinama tikėtinai maksimali tikslinio produkto koncentracija Pmax kultivavimo proceso pabaigoje. Šios priklausomybės formulė:

[0023]

[0024] kur Yap yra konkrečiam E.coli kultivavimo procesui, pagal ankstesnių jo eksperimentų duomenis, identifikuotas išeigos koeficientas, charakterizuojantis tos rūšies bakterijų pajėgumą sintezuoti tikslinį baltymą.

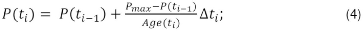
[0025] 3) Trečiajame žingsnyje, naudojant identifikuotą tikslinio produkto tikėtiną maksimalią koncentraciją Pmax, (3) išraiška, toliau, skaičiuojama tikslinio produkto koncentracijos funkcija P(t) poindukciniame kultivavimo laikotarpyje t=[tinduction; tend]. Produkto koncentracijos funkcijos P(t) formulėje pagrindiniai argumentai yra tikėtinai maksimali koncentracija Pmax ir bakterijų populiacijos vidutinis amžius Age(t), kur P(tinduction) = 0:

[0026]

[0027] Šiame išradime, specifinis bakterijų augimo greitis µ(t) pasirenkamas ir suformuojamas, naudojant iteracinę optimizavimo procedūrą. Šios iteracinės procedūros metu, parenkamas ir per eilę iteracijų suformuojamas toks bakterijų specifinio augimo µ-profilis µ(t), t=[tinduction;tend], kuris įgalintų pasiekti prognozuojamą maksimalią produkto koncentraciją kultivavimo pabaigoje P(tend)=Pmax.

[0028] 4) Ketvirtajame būdo žingsnyje, pagal suformuotą specifinio augimo greičio µ- profilį µ(t), t=[tinduction;tend], bioreaktoriaus automatinis valdiklis reguliuoja maitinančio substrato srautą (pavyzdžiui naudojant specifinio augimo greičio valdymo sistemą pasiūlytą [6] (Galvanauskas, Vytautas; Simutis, Rimvydas; Levišauskas, Donatas; Urniežius, Renaldas. Practical solutions for specific growth rate control systems in industrial bioreactors // Processes. Basel : MDPI. ISSN 2227-9717. 2019, vol. 7, iss. 10, art. no. 693, p. 1-13.), taip palaikydamas bioreaktoriuje µ-profilio apibrėžtą specifinį augimo greitį µ.

[0029] Naujumas. Šio būdo naujos savybės, atskiruose žingsniuose ir jų visumoje, yra šios:

[0030] ● pirmame žingsnyje, įvertinamas naujas kultivavimo ir sintezės kokybės indikatorius - bakterijų populiacijos vidutinis amžius Age(t), dalinai sąlygojantis E.coli kultūros pajėgumą sintezuoti tikslinį produktą (baltymą) poindukciniu laikotarpiu;

[0031] ● antrame žingsnyje, pagal sukurtas naujas formules, įvertinama tikėtinai maksimali tikslinio produkto koncentracija Pmax, bei tikėtina koncentracijos augimo funkcija P(t) poindukciniame laikotarpyje t=[tinduction;tend];

[0032] ● trečiame žingsnyje, taikant iteracinio optimizavimo būdą, bei naują kultivavimo eksperimentų duomenų pagrindu sukurtą tikslinio produkto kaupimo išraišką, suformuojamas specifinio augimo greičio µ-profilis, kurio taikymas kultivavimo procese prognozuoja tikėtinai maksimalią tikslinio produkto koncentraciją kultivavimo proceso pabaigoje.

[0033] Techniniai efektai. Išradimas pasižymi šiais techniniais efektais:

[0034] ● pasiekiama didesnė santykinė tikslinio produkto išeiga. Atlikta eksperimentinių duomenų analizė parodė, kad rekombinantinių E.coli kultivavimo procese, sintezuojant tikslinį produktą šiuo būdu, tikslinio produkto sintezės išeiga gaunama vidutiniškai ~12% didesnė, negu taikant žinomus maitinančio substrato valdymo metodus;

[0035] ● kultivavimo proceso automatizuotas valdymas, naudojantis empirinius

[0036] eksperimentiškai gautus E.coli kultivavimo modelius, yra paprastesnis ir patikimesnis. Paprasčiau valdomas automatizuotas procesas, atitinkamai, nereikalauja kvalifikuoto operatoriaus, jo dažno įsitraukimo koreguoti maitinačio substrato srautą;

[0037] ● šis valdymo ir produkto sintezės maksimizavimo būdas gali būti efektyviai taikomas pramoniniuose E.coli kultivavimo procesuose ir bioreaktoriuose.

[0038] BRĖŽINIŲ APRAŠYMAS

[0039] Išradimo požymiai ir privalumai yra aprašomi detaliame išradimo aprašyme su nuorodomis į žemiau pateiktus brėžinius:

[0040] 1. pav.pavaizduoti žingsniai (1.1, 1.2, 1.3, 1.4) technologinio būdo, skirto maksimizuoti sintezuojamo tikslinio produkto koncentraciją rekombinantinių E.coli pusiau-periodiniuose kultivavimo procesuose (5): 6

[0041] - biomasės koncentracijos x(t) bioreaktoriuje (5) įvertinimas (2) realiu laiku; 3 – bioreaktoriaus automatinis valdiklis; 4 – E.coli kultivavimo sisteminė aplinka: 5 - bioreaktorius ir 3 - automatinis valdiklis; 6 - E.coli maitinimo substrato srautas.

[0042] 2. pav.pavaizduota E.coli kultivavimo proceso valdymo sistemos schema, taikant išradime atskleistą valdymo ir produkto sintezės maksimizavio būdą.

[0043] 3. pav. E.coli kultivavimo eksperimentų rezultatų palyginimai, optimizavus tikslinio produkto koncentracijos augimą po indukcijos. Pavaizduoti:

[0044] a) biomasės koncentracijos x(t),

[0045] b) bakterijų populiacijos vidutinio amžiaus Age(t), specifinio augimo greičio µ(t) ir

[0046] c) tikslinio produkto koncentracijos P(t) kitimo grafikai tipiniame E.coli kultivavimo eksperimente, demonstruojančiame skirtumą tarp eksperimento rezultatų ir prognozavimo rezultatų, jeigu tikslinio produkto sintezės procesas būtų valdomas pagal optimizuotą specifinio augimo greičio profilį µ(t) (µ-profilį).

[0047] 4. pav. pavaizduotas 3D-grafikas: tikslinio produkto sintezės (produkto koncentracijos augimo) greičio dP(t)/dt priklausomybė nuo E.coli biomasės koncentracijos x(t) ir populiacijos vidutinio amžiaus Age(t) kintamųjų.

[0048] IŠRADIMO SĄVOKŲ SĄRAŠAS

[0049] ● Bakterijų populiacijos vidutinis amžius (angl. Age) – vidutinis bakterijos gyvavimo laikas, nuo įvykusio bakterijos pasidalijimo iki analizuojamo momento (t). Iš esmės, jis priklauso nuo bakterijų specifinio augimo greičio µ;

[0050] ● Specifinis bakterijų augimo greitis (µ) – bakterijų koncentracijos pokytis, paskaičiuotas bendrai bakterijų koncentracijai x, µ =dx/(dt x), [1/val];

[0051] ● Biomasės/bakterijų koncentracija (x) – pagal standartinį protokolą išdžiovintų bakterijų koncentracija kultūrinėje terpėje [g/L];

[0052] ● Indukcija – technologinis veiksmas, kurio metu į bioreaktorių dozuojamas cheminis komponentas, dažniausiai IPTG (Isopropyl β-D-1- thiogalactopyranoside), inicijuojantis rekombinantinėse E.coli tikslinio produkto sintezę;

[0053] ● Indukcijos momentas – laiko žymė, kada atliekama indukcija (val);

[0054] ● Tikslinis produktas – rekombinantinių E.coli bakterijų kultivavimo metu sintezuojami specifiniai baltymai, pavyzdžiui, insulinas, interferonas, augimo faktoriai, tripsinas, ir kiti, kurie taikomi medicinoje. E.coli (Escherichia coli) yra viena tinkamiausių bakterijų rūšių sintezuoti rekombinantinius baltymus. Tai plačiausiai naudojama išraiškos platforma (vessel), kaip bakterijų gamykla sukurti heterologinius baltymus, įskaitant didelę ekspresijos plazmidžių kolekciją. Netinkamai kultivuojant bakterijas, jos gali gaminti/sekretuoti nereikalingus metabolinius produktus. Šiame išradime orientuojamasi į tikslinį produktą, kuris dažniausiai yra sintetinamas bakterijos viduje, tiesiogiai iš anglies šaltinio, be pašalinių metabolizmo kelių. Rekombinantinės E.coli bakterijos yra genetiškai modifikuojamos, pagal pasirinktą genomą, tada modifikuotos bakterijos gamina atitinkamą tikslinį produktą: sfGFP-proteinus, interferoną, tripsiną, ir kitus.

[0055] DETALUS IŠRADIMO APRAŠYMAS

[0056] Technologinio būdo maksimizuoti rekombinantinių E.coli sintezuojamo tikslinio produkto koncentraciją pusiau-periodiniuose kultivavimo procesuose, poindukciniu periodu planuojant specifinį bakterijų augimo greičio profilį, žingsniai pavaizduoti 1 paveiksle. Šis būdo įgyvendinimas E.coli kultivavimo procese, bioreaktoriuje ir jo valdymo sistemoje su esminiais funkciniais elementais pavaizduotas 2 paveiksle. Žemiau išsamiai aprašomos kiekvieno žingsnio realizavimo detalės.

[0057] Pirmajame būdo žingsnyje, E.coli bakterijų kultivavimo metu atliekamas biomasės koncentracijos x(t) įvertinimas ((1) išraiška) ir bakterijų populiacijos vidutinio amžius Age(t) ((2) išraiška) įvertinimas realiu laiku, netiesioginių matavimų bioreaktoriuje būdu. Šis žingsnis atliekamas E.coli bakterijų kultivavimo laikotarpyje iki indukcijos inicijavimo momento (tinduction). Šiame (priešindukciniame) laikotarpyje stengiamasi išlaikyti aukštą bakterijų augimo greitį, todėl maitinimo substratas į bioreaktorių tiekiamas taip, kad substrato koncentracija bioreaktoriaus terpėje bakterijų augimą limituotų kuo mažiau. Tipiniams rekombinantinių E.coli kultivavimo procesams, priešindukcinis kultivavimo laikotarpis tęsiamas tol, kol bioreaktoriaus techninės charakteristikos dar leidžia palaikyti priimtiną ištirpusio deguonies koncentraciją kultivavimo terpėje. Šiame žingsnyje (t.y. priešindukciniame laikotarpyje) biotechnologinio proceso operatorius, priklausomai nuo biomasės augimo palaikymo procesų charakteristikų (maišyklės sūkių skaičius, paduodamo oro ir paduodamo deguonies srautų), suplanuoja ir reguliuoja maitinančio substrato srautą, kuris sąlygotų aukštą rekombinantinių E.coli augimo greitį. Šio išradimo apimtyje, operatoriaus suplanuotas maitinančio substrato srautas ir jo valdymas iki indukcijos momento vykdomas įprastai, be specialių pokyčių ir patobulinimų.

[0058] Biomasės koncentracijos x(t) realiu laiku įvertinimas, šiame išradime gali būti vykdomas žinomu netiesioginio matavimo metodu, pagal biosintezės metu naudojamo deguonies greičio išmatuotus rodiklius [5] (Survyla, A., Urniezius, R. & Simutis, R. Viable cell estimation of mammalian cells using off-gas-based oxygen uptake rate and aging-specific functional. Talanta 254, 124121, 2023).

[0059]

[0060] kur x yra biomasės koncentracija [g/L], OUR yra deguonies suvartojimo greitis [g/(h*L)], x0 biomasės koncentracija inokuliavimo memontu, α ir β yra kultūros stechiometrijos koeficientai, kcX yra parametras, kuris apibrėžia pradžią nuo kurios pradeda dalyvauti (1) išraiškoje biomasės palaikymo narys β ir xcX yra biomasės koncentracijos vertė tuo laiko momentu

[0061]

[0062] Vienas esminių šio išradimo aspektų - vykdant tikslinio produkto sintezės maksimizavimą, yra atsižvelgiama ir į bakterijų populiacijos vidutinį amžių Age(t). Parametras Age(t) priklauso nuo to, kaip greitai bakterijos auga ir dalijasi. Įvertinti Age(t) reikšmes, naudojama matematinė išraiška (2)

[0063]

[0064] Antrajame būdo žingsnyje, įvertinama sintetinamo tikslinio produkto tikėtinai maksimali koncentracija Pmax kultivavimo proceso pabaigoje momentu tend, kuri priklauso nuo indukcijos momentu tinduction įvertintų: biomasės koncentracijos x(tinduction) ir populiacijos vidutinio amžiaus Age(tinduction). Atlikus kultivavimo eksperimentų duomenų analizę, pastebėta, kad kultivavimo proceso pabaigoje didžiausia tikslinio produkto koncentracija P(tend) gauta tuose kultivavimo eksperimentuose, kur E.coli vidutinis amžius Age(tinduction) indukcijos momentu buvo mažiausias ir biomasės koncentracija x(tinduction) didžiausia. Ši kompleksinė priklausomybė parodyta 4 paveiksle, kaip dviejų kintamųjų x(t) ir Age(t) 3D- funkcija, rodanti produkto sintezės greičio priklausomybę nuo šių dviejų faktorių. Pagal šiuos kultivavimo eksperimentų rezultatus, parengta formulė, leidžianti įvertinti tikėtiną maksimalią tikslinio produkto koncentraciją Pmax kultivavimo proceso pabaigoje (tai yra, P(tend))

[0065]

[0066] kur daugiklis Yap yra konkrečiam kultivavimo procesui pagal jo eksperimento duomenis (pavyzdžiui, kaip pavaizduota 4 paveiksle) parenkamas išeigos koeficientas, charakterizuojantis šiame procese kultivuotų E.coli pajėgumą sintezuoti tikslinį baltymą.

[0067] Ši empiriškai pagrįsta formulė gauta, apdorojus didelį kiekį kultivavimo eksperimentų duomenų, surinktų vykdant rekombinantinių E.coli pusiau- periodinius kultivavimo procesus. Pavyzdžiui, šiuos, kurių rezultatai jau anksčiau skelbti mokslinėje spaudoje [7] (Survyla, A., Levisauskas, D., Urniezius, R. & Simutis, R. An oxygen-uptake-rate-based estimator of the specific growth rate in Escherichia coli BL21 strains cultivation processes. Computational and Structural Biotechnology Journal 19, 5856–5863 (2021), [8] Schaepe, S., Kuprijanov, A., Simutis, R. & Lübbert, A. Avoiding overfeeding in high cell density fed-batch cultures of E. coli during the production of heterologous proteins. Journal of Biotechnology 192, 146–153 (2014)). Iš šių kultivavimo eksperimentų ir procesų, formulėje (3) identifikuotas išeigos koeficientas Yap = 0.5.

[0068] Formulė (3) charakterizuoja, kad tikėtiną maksimalią tikslinio produkto koncentracijos reikšmę Pmax apsprendžia E.coli kultivavimo proceso eiga iki indukcijos momento tinduction. Jei indukcija vykdoma esant didelei E.coli biomasės koncentracijai x(tinduction), tada dažniausiai bakterijų populiacijos vidutinis amžius Age(tinduction) būna jau didelis ir tikslinio produkto sintezė poindukciniu laikotarpiu sulėtėja. Kita vertus, jei indukcija inicijuojama esant mažai biomasės koncentracijai x(t), tada populiacijos vidutinis amžius Age(t) yra mažas ir tikslinio produkto biosintezė vyksta intensyviai, tačiau dėl mažos biomasės koncentracijos x(t), susintetinto produkto koncentracija P(t) kultivavimo pabaigoje pasiekiama irgi nedidelė. Taigi, tinkamas indukcijos momento tinduction parinkimas yra svarbus kultivavimo proceso rezultatui. Šiuo metu kultivavimo procesuose indukcijos momentą tinduction įprastai parenka proceso operatorius, remdamasis darbine praktika ir ankstesnių kultivavimo eksperimentų analize. Įgyvendinant šį išradimą,

[0069]

[0070] taip pat laikoma, jog indukcijos inicijavimo momentą tinduction ir maitinančio substrato srautą iki šio momento tinduction suplanuoja proceso operatorius. Šio išradimo eksperimentuose, indukcija būdavo inicijuojama tuo momentu, kai bioreaktoriaus terpėje ištirpusio deguonies koncentracijai palaikyti pasiekiami maksimalūs leistini bioreaktoriaus maišyklės sūkiai ir paduodamo oro maksimalus srautas.

[0071] Trečiajame būdo žingsnyje, pagal formulę (3) įvertintą maksimalią tikslinio produkto koncentraciją Pmax kultivavimo pabaigoje, kultivavimo poindukciniam laikotarpiui t=[tinduction; tend] suskaičiuojama tikslinio produkto koncentracijos kaupimo (augimo) funkcija P(t)

[0072]

[0073] Šioje formulėje (4) pagrindiniai kintamieji yra tikėtinai maksimali tikslinio produkto koncentracija Pmax ir bakterijų populiacijos vidutinis amžius Age(t).

[0074] Pradžioje visos specifinio augimo greičio funkcijos vertės poindukciniam laikotarpiui µ(t) prieš optimizavimo procedūrą yra prilyginamos nuliams. Optimizavimo metu, kiekvieną kartą apskaičiavus produkto koncentracijos funkcijos P(t) verčių profilį ((4) išraiška),t=[tinduction; tend], bei varijuojant specifinio bakterijų augimo greičio funkcijos µ(t),t=[tinduction;tend] reikšmėmis, laiko periode t=[tinduction; tend] kiekvienam pasirinktam laiko intervalui suskaičiuojami šių kintamųjų vertės

[0075] - pagal formulę (5) - prognozuojama biomasės koncentracija x(t),

[0076] - pagal formulę (2) - bakterijų populiacijos vidutinis amžius Age(t),

[0077] - pagal formulę (4) - tikslinio produkto koncentracija P(t) poindukcinio kultivavimo eigoje, tai yra, laikotarpyje t=[tinduction; tend].

[0078] Tikslinio produkto koncentracija kultivavimo pabaigoje P(tend) maksimizuojama iteracine optimizavimo procedūra. Ši iteracinė procedūra, jos įvykdymo rezultate, suformuoja specifinio augimo greičio optimizuotą funkciją µ(t)

[0079] - µ-profilį, kuri įgalintų E.coli kultivavimo pabaigoje (tend) pasiekti tikėtiną maksimalią produkto koncentraciją P(tend).

[0080] Optimizavimo iteracinė procedūra. Jos pradžioje, parenkamas optimizuojamos funkcijos µ(t) laiko t diskretizavimo žingsnis dt (valandomis (val), kur diskretizavimo žingsnio dydis parenkamas ribose: 0.1-1 val), ir kultivavimo pabaigos laikas tend. Pagal indukcijos inicijavimo momentą tinduction ir kultivavimo pabaigos laiką tend - suskaičiuojamas intervalų skaičius n, kur n=(tend - tinduction)/dt. Šiuose dt intervaluose, pagal funkcijos µ(t) optimizacijos procedūrą, bus nustatomos bakterijų specifinio augimo greičio µ(t) optimalios reikšmės minėtuose intervaluose, tai yra, µ(tinduction), µ(tinduction+dt), µ(tinduction+2dt), µ(tinduction+3dt), …, µ(tend-dt), µ(tend). Taip pat, µ(t) optimizavimo procedūros pradžioje, pagal (3) formulę suskaičiuojamas Pmax. Įvertinus šių parametrų reikšmes, toliau, vykdomas iteracinis specifinio augimo greičio profilio funkcijos µ(t) diskrečiųjų reikšmių µ(i*dt), i=0..n optimizavimas šia tvarka:

[0081] ● kiekvienam poindukcinio laikotarpio [tinduction; tend] diskrečiojo laiko intervalui i*dt,i=0..n specifinio augimo greičio µ(i*dt), i=0..n reikšmė didinama nuo esamos reikšmės (arba nuo 0 pradžioje) ją varijuojant (didininant iki 0,8 arba mažinant iki 0) su 0,01 specifinio augimo greičio pokyčio diskretiškumu;

[0082] ● kiekvienam intervalui i*dt, skaičiuojama biomasės koncentracija x(i*dt), pagal (5) formulę;

[0083] ● pagal formulę (2) skaičiuojamas bakterijų populiacijos vidutinis amžius Age(t) kultivavimo metu, o pagal išraišką (4) apskaičiuojama produkto koncentracija P(ti) kiekvienam laiko intervalui i=0..n;

[0084] ● tikrinama produkto koncentracija P(t) kultivavimo proceso pabaigoje, momentu tend, tai yra, galutiniame n-tajame intervale n*dt. Jei ši vertė P(n*dt) gaunama didesnė, nei P(n*dt) suskaičiuota prieš tai buvusioje iteracijoje, tuomet ši naujoji P(n*dt) vertė yra išsaugoma kartu su specifinio augimo greičio profilio vertėmis µ(i*dt), i=0..n esamoje iteracijoje padidinta/pamažinta reikšme. Toliau, vykdoma sekanti µ(i*dt), i=0..n optimizavimo iteracija, toliau didinant/mažinant specifinio augimo greičio µ(i*dt), i=0..n vertes pasirinktu diskretiškumu (kaip minėta, pavyzdžiui, 0,01). Jeigu esamoje iteracijoje suskaičiuota P(n) vertė gaunama mažesnė už ankstesnės iteracijos P(n) vertę, tada µ(i*dt) diskretinės vertės optimizavimo procedūra stabdoma ir ankstesnės iteracijos µ(i*dt) diskretinė vertė išsaugoma kartu su specifinio augimo greičio profiliu µ(i*dt), i=0..n, nes ji parodė didžiausią tikėtiną produkto koncentraciją P(n) kultivavimo pabaigoje (tai yra, momentu tend arba n-tajame laiko intervale).

[0085] ● 4-tajame valdymo būdo žingsnyje, šis optimizuotas µ(i*dt), i=0..n profilis panaudojamas bioreaktoriaus specifinio augimo greičio valdiklyje, kuris palaiko nustatytą specifinį augimo greitį µ, atitinkamai reguliuodamas maitinančio substrato srautą.

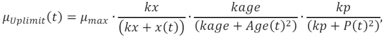
[0086] Visos optimizavimo procedūros metu optimizuoto specifinio augimo greičio profilio µ(i*dt), i=0..n praktinio panaudojimo galimybių užtikrinimui optimizavimo iteracinėje procedūroje taip pat vertinami papildomi maksimalaus leistino specifinio augimo greičio ribojimai. Kultivavimo procese maksimalus specifinis augimo greitis µ(i*dt), i=0..n priklauso nuo esamos biomasės koncentracijos x(t), bakterijų populiacijos vidutinio amžiaus Age(t) ir tikslinio produkto koncentracijos P(t). Todėl, iteracijų metu tos specifinio augimo greičio vertės µ(i*dt), i=0..n, yra atmetamos (nenaudojamos toliau maksimizuojant tikslinio produkto koncentraciją), kurios viršija (6) išraiškoje gautą vertę. Šis ribojimas E.coli kultivavimo procesams suformuojamas pagal modifikuotą Monod išraišką:

[0087]

[0088] kur µmax yra E.coli kultūros maksimalus specifinis augimo greitis, kx - biomasės inhibicijos koeficientas, kage - metodo amžiaus inhibicijos koeficientas, kp produkto inhibicijos koeficientas. Remiantis eile rekombinantinės E.coli kultivavimo eksperimentų, identifikuotos tokios šių parametrų reikšmės: µmax = 1.1 [1/hr], kx = 80 [g/L], kage = 3.5 [hr], kp = 20 [g/L].

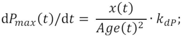
[0089] Iteracinėje optimizavimo procedūroje įvedamas ir tikslinio produkto maksimalaus sintezės greičio dP(t)/dt ribojimas. Tikslinio produkto koncentracija P(t), skaičiuojama pagal formulę (4), poindukcinio laikotarpio pradžioje. Dėl formulės (4) jautrumo kintamajam Age(t), produkto sintezės greičio dP(t)/dt reikšmes gali tapti didesnės, negu jos įmanomos realiuose kultivavimo procesuose ir eksperimentuose. Todėl, skaičiuojant sintezės greitį dP(t)/dt, laikoma, kad jo dydis neturėtų viršyti tam tikro maksimalaus greičio dPmax(t)/dt. Šis maksimalus greitis dPmax(t)/dt yra vertinamas empirine formule, suformuota remiantis kultivavimo eksperimentų duomenimis:

[0090]

[0091] kur realiai įmanomą jaunos bakterijų kultūros maksimalų produkto koncentracijos sintezės greitį dPmax(t)/dt nulemia koeficientas kdP. Pagal kultivavimo eksperimentų duomenis, šio koefciento reikšmė yra kdP = 0.15.

[0092] Ketvirtajame būdo žingsnyje, pagal suformuotą bakterijų specifinio augimo greičio µ-profilį, bioreaktoriaus automatinis valdiklis reguliuoja maitinančio substrato srautą, taip palaikydamas µ-profiliu apibrėžtą realų specifinį augimo greitį µ bioreaktoriuje. Automatinis maitinančio srauto reguliavimo valdiklis veikia žinomu būdu, vertinančiu realų specifinį augimo greitį µ bioreaktoriuje pagal realiu laiku matuojamus deguonies naudojimo greičio duomenis [6] (Galvanauskas, Vytautas; Simutis, Rimvydas; Levišauskas, Donatas; Urniežius, Renaldas. Practical solutions for specific growth rate control systems in industrial bioreactors // Processes. Basel : MDPI. ISSN 2227-9717. 2019, vol. 7, iss. 10, art. no. 693, p. 1-1.

[0093] E.coli kultivavimo proceso valdymo sistemos schema, taikant išradime aprašytą tikslinio produkto išeigos maksimizavimo būdą, pavaizduota 2 paveiksle.

[0094] E.coli kultivavimo metu, pagal iš bioreaktoriaus išeinančių dujų srautą ir sudėtį, realiu laiku vertinama biomasės koncentracija x(t) ir bakterijų populiacijos vidutinis amžius Age(t). Iki indukcijos momento tinduction, maitinančio substrato srautas tiekiamas pagal operatoriaus iš anksto suplanuotą profilį. Proceso operatoriui atlikus induktoriaus (IPTG) dozavimą ir inicijavus tikslinio produkto sintezę, indukcijos momentu tinduction nustatoma tikėtinai maksimali tikslinio produkto koncentracija Pmax kultivavimo pabaigoje tend ir inicijuojama tikslinio produkto sintezės maksimizavimo procedūra. Pagal šią procedūrą, atsižvelgiant į proceso apribojimus (maksimalus specifinis augimo greitis, maksimalus tikslinio produkto skyrimosi greitis) optimizuojamas (suformuojamas tinkamiausias) specifinio augimo profilis µ(i*dt), i=0..n, kuris specifinio augimo greičio µ valdiklio pagalba reguliuoja maitinančio substrato srautą poindukciniu laikotarpiu [tinduction; tend]. Specifinio augimo greičio µ valdiklis funkcionuoja žinomu valdymo būdu, pagal deguonies suvartojimo greičio duomenis [6] (Galvanauskas, Vytautas; Simutis, Rimvydas; Levišauskas, Donatas; Urniežius, Renaldas. Practical solutions for specific growth rate control systems in industrial bioreactors //Processes. Basel: MDPI. ISSN 2227-9717. 2019, vol. 7, iss. 10, art. No. 693, p. 1-13.)

[0095] Sukurtas E.coli kultivavimo valdymo būdas įgalina maksimizuoti tikslinio produkto koncentraciją pusiau-periodiniuose rekombinantinių E.coli kultivavimo procesuose, poindukciniu periodu optimaliai valdant specifinį bakterijų augimo greitį µ. Būdas gali būti efektyviai panaudotas įvairios paskirties biofarmacinių tikslinių produktų kultivavimo procesuose ir pramoniniuse bioreaktoriuose.

[0096] Eksperimentiniai rezultatai. Išradime atskleistas tikslinio produkto maksimizavimo būdas analitiškai ištirtas, rekombinantinių E.coli kultivavimo procesuose. Tipinis šio metodo įgyvendinimo realiame E.coli biomasės auginimo bei tikslinio produkto sintezės eksperimente rezultatas vienam eksperimentui pateiktas 3 paveiksle. Paveiksle parodyti E.coli biomasės koncentracijos x(t) (3 pav. a), bakterijų populiacijos vidutinio amžiaus Age(t) (3 pav. b), specifinio augimo greičio µ kitimo (3 pav. c) ir tikslinio produkto koncentracijos P(t) augimo grafikai.

[0097] Bioprocese specifinio augimo greičio profilio kūrimas vykdomas:

[0098] - pagal išankstinį operatoriaus planą - priešindukcinėje (E.coli biomasės auginimo) fazėje, ir

[0099] - pagal šio išradimp būdą - poindukcinėje (tikslinio produkto sintezės) fazėje, siekiant maksimizuoti tikslinio produkto sintezės išeigą kultivavimo pabaigoje.

[0100] Operatoriui parinkus indukcijos momentą tinduction, biomasės koncentracija x(t) ir bakterijų vidutinis amžius Age(t) indukcijos inicijavimo momentu tinduction gali turėti įvairias reikšmes. Tikslinio produkto sintezės optimizavimas ir išeigos P(tend) maksimizavimas, faktiškai, gali būti atliekamas esant bet kokioms ir x(tinduction) ir Age(tinduction) reikšmėms indukcijos inicijavimo momentu tinduction.

[0101] Inicijavus indukciją, nuo momento tinduction (3 paveiksle: 10-ta valanda), specifinis augimo greitis µ, yra surandamas pagal dviejų parametrų x(t) ir Age(t) funkcijos P(t) maksimumą, bei užtikrinant apribojimų neviršijimą pagal formules (6) ir (7). Atlikus indukciją, biomasės augimas sulėtėja bei didėja vidutinis bakterijų amžius. Realiai pasiektos kultivavimo charakteristikos skirsis nuo prognozuojamų pagal specifinius augimo profilius, šie skirtumai matosi taškinėse kreivėse 3 a pav. vidutinis populiacijos amžius, 3b pav. biomasės koncentracija, 3c pav. maksimaliai tikėtino produkto koncentracija, 3 d pav. specifinio augimo greitis.

[0102] Šioje analizėje, taikant sukurtą maksimizavimo būdą, tikslinio produkto maksimaliai tikėtina koncentracija vidutiniškai 12% didesnė, nei būtų gauta, neoptimizavus sintezės proceso pagal minėtus du esminius parametrus: E.coli biomasės koncentraciją x(t) ir bakterijų vidutinį amžių Age(t).

[0103] LITERATŪROS SĄRAŠAS

[0104] 1. US Patent US5595905A, 1997. Process control system for fed-batch fermentation using a computer to predict nutrient consumption.

[0105] 2. US Patent US6284453B1, 2001. Method for controlling fermentation growth and metabolism.

[0106] 3. LT Patentas LT6395B, Mikroorganizmų augimo greičio automatinė valdymo sistema ir būdas, 2015.

[0107] 4. Gnoth, Stefan; Simutis, Rimvydas; Lübbert, Andreas. Selective expression of the soluble product fraction in Escherichia coli cultures employed in recombinant protein production processes // Applied Microbiology and Biotechnology. New

[0108] York : Springer. ISSN 0175-7598. 2010, Vol. 87, iss. 6, p. 2047-2058

[0109] 5. Survyla, A., Urniezius, R. & Simutis, R. Viable cell estimation of mammalian cells using off-gas-based oxygen uptake rate and aging-specific functional. Talanta 254, 124121, 2023

[0110] 6. Galvanauskas, Vytautas; Simutis, Rimvydas; Levišauskas, Donatas; Urniežius,

[0111] Renaldas. Practical solutions for specific growth rate control systems in industrial bioreactors // Processes. Basel : MDPI. ISSN 2227-9717. 2019, vol. 7, iss. 10, art. no. 693, p. 1-13.)

[0112] 7. Survyla, A., Levisauskas, D., Urniezius, R. & Simutis, R. An oxygen-uptake-rate- based estimator of the specific growth rate in Escherichia coli BL21 strains cultivation processes. Computational and Structural Biotechnology Journal 19, 5856–5863 (2021).

[0113] 8. Schaepe, S., Kuprijanov, A., Simutis, R. & Lübbert, A. Avoiding overfeeding in high cell density fed-batch cultures of E. coli during the production of E. coli during the production ofheterologous proteins. Journal of Biotechnology 192, 146–153 (2014).

Apibrėžtis

1. Būdas maksimizuoti tikslinio produkto sintezę rekombinantinių E.coli pusiau- periodiniuose kultivavimo procesuose apima šių žingsnių seką:

a) pirmame žingsnyje (1.1) vykdomas E.coli biomasės koncentracijos x(t) įvertinimas ir populiacijos vidutinio amžiaus Age(t) nustatymas kultivavimo laikotarpyje iki indukcijos momento tinduction;

b) antrame žingsnyje (1.2), indukcijos momentu tinduction, pagal išmatuotą biomasės koncentraciją x(tinduction) ir įvertintą vidutinį amžių Age(tinduction), bei taikant eksperimentiškai identifikuotą produkto sintezės greičio dP(t)/dt priklausomybę nuo biomasės koncentracijos x(t) ir amžiaus Age(t), įvertinama tikėtinai maksimali tikslinio produkto koncentracija Pmax kultivavimo pabaigoje momentu tend;

c) trečiu žingsniu (1.3), pagal eksperimentiškai identifikuotą produkto sintezės greičio dP(t)/dt priklausomybę, įvertinama produkto koncentracijos funkcija P(t) poindukciniame laikotarpyje [tinduction; tend], ir optimizavimo iteracine procedūra suformuojamas E.coli specifinio augimo greičio profilis µ(t), atitinkantis produkto tikėtiną maksimalią koncentraciją P(t) kultivavimo pabaigoje momentu tend.

d) ketvirtame žingsnyje (1.4), į bioreaktorių tiekiamas maitinančio substrato srautas, reguliuojamas automatiniu valdikliu pagal optimizuotą specifinio augimo greičio profilį µ(t),t=[tinduction; tend].

2. Būdas pagal 1 punktą, b e s i s k i r i a n t i s tuo, kad pirmajame (a) žingsnyje E.coli biomasės koncentracija x(t) įvertinama realiu laiku, netiesioginiu matavimo būdu pagal reaktoriuje suvartojamo deguonies greičio rodiklius.

3. Būdas pagal 1 arba 2 punktus, b e s i s k i r i a n t i s tuo, kad E.coli populiacijos vidutinis amžius Age(t) įvertinamas pagal įvertintą E.coli biomasės koncentracijos x(t) profilį.

4. Būdas pagal 3 punktą, b e s i s k i r i a n t i s tuo, kad Age(t) skaičiuojamas pagal formulę


5. Būdas pagal 1 punktą, b e s i s k i r i a n t i s tuo, kad antrame žingsnyje (b) įvertinama tikėtinai maksimali tikslinio produkto koncentracijos riba Pmax kultivavimo pabaigoje, pagal formulę


kur Yap yra eksperimentiškai įvertintas kultivavimo proceso išeigos specifinis koeficientas, charakterizuojantis proceso pajėgumą sintezuoti tikslinį produktą.

6. Būdas pagal 5 punktą, b e s i s k i r i a n t i s tuo, kad išeigos specifinis koeficientas Yap yra lygus 0.5.

7. Būdas pagal 1, 5 ir 6 punktus, b e s i s k i r i a n t i s tuo, kad trečiame žingsnyje (c), skaičiuojama sintezuojamo produkto koncentracijos funkcija P(t) laikotarpyje t=[tinduction; tend] pagal formulę


- skaičiuojama E.coli biomasės koncentracijos funkcija x(t), pagal formulę


- skaičiuojama vidutinio amžiaus funkcija Age(t), ir####- optimizavimo iteracine procedūra suformuojama E.coli specifinio augimo greičio optimizuota funkcija µ(t)-profilis, kuri kultivavimo laikotarpio pabaigoje tend įgalina tikėtiną maksimalią produkto koncentraciją P(t).

8. Būdas pagal 7 punktą, b e s i s k i r i a n t i s tuo, kad optimizavimo iteracinė procedūra yra vykdoma ir E.coli specifinio augimo greičio funkcija µ(t)-profilis yra optimizuojama diskretiniame laike dt.

9. Būdas pagal 8 punktą, b e s i s k i r i a n t i s tuo, kad diskretinio laiko intervalo dt dydis parenkamas nuo 0.1 iki 1 valandos.

10. Būdas pagal 7-9 punktus, b e s i s k i r i a n t i s tuo, kad optimizavimo iteracinėje procedūroje, E.coli specifinio augimo greičio optimizuotos funkcijos µ(t)-profilis suformuojamas, varijuojant µ(t)-profilio reikšmes iteracijomis, nuo 0 iki 0,8, diskretiniu žingsniu 0,01.

11. Būdas pagal 7-10 punktus, b e s i s k i r i a n t i s tuo, kad optimizavimo iteracinėje procedūroje, E.coli specifinio augimo greičio µ(t)-profilis formuojamas, taikant µ(i*dt) reikšmių didinimo ribojimus pagal Monod formulę


kur µmax yra E.coli kultūros maksimalus specifinis augimo greitis, kx - biomasės inhibicijos koeficientas, kage - metodo amžiaus inhibicijos koeficientas, kp - produkto inhibicijos koeficientas.

12. Būdas pagal 11 punktą, b e s i s k i r i a n t i s tuo, kad Monod formulėje ribojantys parametrai turi šias reikšmes: µmax = 1.1 [1/hr], kx = 80 [g/L], kage = 3.5 [hr], kp = 20 [g/L].

13. Būdas pagal bet kurį iš 7-12 punktų, b e s i s k i r i a n t i s tuo, kad optimizavimo iteracinėje procedūroje ribojamas tikslinio produkto sintezės maksimalus greitis dPmax(t)/dt pagal formulę


kur parametras kdP yra koeficientas, ribojantis jaunos bakterijų kultūros tikslinio produkto koncentracijos sintezės greitį.

14. Būdas pagal 13 punktą, b e s i s k i r i a n t i s tuo, kad koeficiento kdP reikšmė yra 0.15.

15. Būdas pagal 1-14 punktus, b e s i s k i r i a n t i s tuo, kad būdas yra skirtas maksimizuoti tikslinio produkto sintezę pramoniniuose ir automatizuotuose E.coli kultivavimo procesuose ir bioreaktoriuose.

Brėžiniai